Abstract
Research activities in the field of imidazole-derived push–pull systems featuring intramolecular charge transfer (ICT) are reviewed. Design, synthetic pathways, linear and nonlinear optical properties, electrochemistry, structure–property relationships, and the prospective application of such D-π-A organic materials are described. This review focuses on Y-shaped imidazoles, bi- and diimidazoles, benzimidazoles, bis(benzimidazoles), imidazole-4,5-dicarbonitriles, and imidazole-derived chromophores chemically bound to a polymer chain.
Graphical Abstract
Introduction
Over the past three decades, great progress has been made in the development and the investigation of new organic push–pull systems. In contrast to inorganic materials, the advent of dipolar (hetero)organic materials with readily polarizable structure was stimulated by their relative ease of synthesis, well-defined structure, chemical and thermal robustness, possibility for further modification, and facile property tuning. Hence, heteroaromatic push–pull chromophores have been targeted and investigated as active components of optoelectronic devices, organic light-emitting diodes (OLED), photovoltaic cells, semiconductors, switches, data-storage devices, etc [1-3]. A typical one-component organic D-π-A chromophore consists of a π-conjugated system end-capped with strong electron donors D (e.g. NR2 or OR groups) and strong electron acceptors A (e.g. NO2 or CN groups). This D-π-A arrangement assures efficient intramolecular charge transfer (ICT) between the donor and acceptor moieties and generates a dipolar push–pull system featuring low-energy and intense CT absorption (Figure 1). The polarizability and the respective optical linear and nonlinear (NLO) properties of these systems depend primarily on their chemical structure, in particular, the electronic behavior of the appended donors and acceptors and the character and length of the π-conjugated linker [4-7].
Figure 1: Schematic representation of organic D-π-A system featuring ICT.
Figure 1: Schematic representation of organic D-π-A system featuring ICT.
Recently, it was also recognized that push–pull systems applicable as organic materials should possess high chemical and thermal robustness, good solubility in common organic solvents, and should be available in reasonable quantities. Hence, various five- and six-membered heterocycles were utilized as suitable π-conjugated chromophore backbones. Moreover, heteroatoms may act as auxiliary donors or acceptors and improve the overall polarizability of the chromophore. In this respect, five-membered diazoles, in particular imidazole, seem to be suitable parent π-conjugated backbones. Imidazole possesses two nitrogen atoms of different electronic nature, represents a robust and stable heterocycle, and can easily be synthesized and further functionalized at positions C2, C4, and C5 in addition to N1. On the imidazole backbone, two principal orientations of the substituents are possible, and these are most frequently used to generate Y-shaped chromophores as shown in Figure 2. The donor appended through an additional π-linker to the imidazole C2, completed with two peripheral acceptors linked at the imidazole C4/C5 positions, generates the first class of chromophores (D-π-IM-(π-A)2 systems). The second class (A-π-IM-(π-D)2 systems) possesses one acceptor and two donors in the reversed orientation. A nonsymmetrical orientation of the donors and acceptors is scarce, most likely due to a more difficult synthesis.
Figure 2: Two principal orientations of the imidazole-derived charge-transfer chromophores.
Figure 2: Two principal orientations of the imidazole-derived charge-transfer chromophores.
The purpose of this article is to review the recent progress in the design, development, and investigation of imidazole-derived charge-transfer chromophores. Synthetic pathways, linear and nonlinear optical properties, electrochemistry, and the prospective application of such organic materials are described. Metal complexes and metal sensitizers are not covered in this review.
Review
Synthesis of imidazole-derived chromophores
A condensation of α-diketones and aldehydes in the presence of ammonia or ammonium salts (Debus–Radziszewski synthesis) is one of the oldest, most versatile, and most frequently employed methods used for the construction of imidazole (glyoxaline) derivatives [8-10]. This simple synthetic pathway is also widely employed for the construction of variously substituted 2,4,5-triarylimidazole-derived chromophores (lophines), as shown in Scheme 1 [11-15].
Scheme 1: Common synthetic approach to triarylimidazole-, diimidazole-, and benzimidazole-derived CT chromophores [11-26].
Scheme 1: Common synthetic approach to triarylimidazole-, diimidazole-, and benzimidazole-derived CT chromoph...
A similar synthetic strategy is used for the construction of diimidazole-type push–pull systems bearing two imidazole rings, which serve as donor and acceptor moieties [16-19]. A sequential construction of the chromophore backbone by modern cross-coupling reactions represents another synthetic approach used for the synthesis of superior diimidazole chromophores [20]. Benzimidazole D-π-A derivatives are a well-investigated class of charge-transfer chromophores. Although many synthetic approaches are known to date [10,21,22], the most popular ones involve the condensation of appropriately substituted arylenediamines or o-nitroanilines with an aldehyde or carboxylic acid, as well as Debus–Radziszewski synthesis as shown in Scheme 1 [23-26].
Since the discovery and the first synthesis of 4,5-dicyanoimidazole was reported by Woodward [27], this imidazole derivative became a popular moiety with moderate acceptor power. Starting from diaminomaleonitrile (DAMN), the simple synthesis of 1-methylimidazole-4,5-dicarbonitrile (1) is outlined in Scheme 2 along with the preparation of 2-bromo-1-methylimidazole-4,5-dicarbonitrile (2) and 1-methyl-2-vinylimidazole-4,5-dicarbonitrile (methylvinazene, 3) [28-30]. These derivatives were recently utilized as suitable precursors for the construction of various CT chromophores (see below).
Scheme 2: Syntheses of important 4,5-dicyanoimidazole derivatives 1–3 [27-30].
Scheme 2: Syntheses of important 4,5-dicyanoimidazole derivatives 1–3 [27-30].
Y-shaped imidazole-derived chromophores
Triarylimidazoles (lophines) and derivatives with larger π-linkers represent the simplest D-π-IM-(π-A)2 and A-π-IM-(π-D)2 push–pull systems. An initial effort to synthesize and apply azole derivatives as CT chromophores and to study their optical (non)linearities can be ascribed to Moylan, Miller, and co-workers as early as 1993 [31,32]. Donor–acceptor-substituted imidazoles, oxazoles, and thiazoles were synthesized, and their properties were compared within the individual series of substituents as well as across the three heterocyclic rings (Figure 3, Table 1). These A-π-IM-(π-D)2 systems possess exceptional thermal stabilities, respectable dipole moments, and significant nonlinearities. It was found that the chromophore nonlinearity depends primarily on the type of substituents A/D and secondarily on the nature of the conjugating heterocyclic ring (Table 1).
Figure 3: Donor–acceptor triaryl push–pull azoles 4a–h [31,32].
Figure 3: Donor–acceptor triaryl push–pull azoles 4a–h [31,32].
Table 1: Linear (λmax) and nonlinear (β) optical properties of triarylimidazoles 4a–h (X = NH) [31].
|
Comp.
X = NH |
A | D |
λmaxa
[nm] |
μ
[D] |
βb
[10−30 esu] |
|---|---|---|---|---|---|
| 4ac | NO2 | OMe | 412 | 6.4 | 19.9 |
| 4bd | C≡CPhNO2 | OMe | 400 | 8.1 | 69.1 |
| 4cd | SO2Ph | OMe | 362 | 8.0 | 10.1 |
| 4dc | NO2 | N[c-(CH2)5] | 438 | 7.2 | 45.5 |
| 4ec | NO2 | OCH2(C2H5)CHC4H9 | 416 | 6.3 | 24.5 |
| 4fc | SO2C4F9 | OCH2(C2H5)CH2CH4H9 | 384 | 6.5 | 13.9 |
| 4gd | NO2 | C≡CPhOMe | 344 | 8.0 | 53.2 |
| 4hc | NO2 | N[c-(CH2)6] | 476 | 8.3 | 78.7 |
aPosition of the longest-wavelength absorption maxima; bmolecular first-order hyperpolarizability measured by EFISH experiments at 1064 or 1907 nm; cmeasured in CHCl3; dmeasured in 1,4-dioxane.
More recently, Bu and co-workers also contributed significantly to the field of imidazole-derived CT chromophores for NLO. The first class of studied compounds 5a–c resembles those chromophores reported by Moylan et al.: The parent π-conjugated backbone of N-methyllophine end-capped with two donors and one acceptor [33]. Bu’s further efforts were focused on (i) the incorporation of an additional, readily polarizable heterocycle, such as thiophene or thiazole; (ii) the improvement of the electron-withdrawing ability of the used acceptor; and (iii) the elongation of the π-conjugated pathway. Thus, the first series of chromophores (5a–c) was completed with the thiophene-derived system 6 [14] with a tricyanovinyl acceptor moiety and chromophores 7a–c [33] featuring a thiophene π-linker and a nitrostyryl acceptor. The molecular structures of compounds 6 and 5c were also confirmed by X-ray analysis [34]. The last series of investigated compounds involved donor 4,5-disubstituted imidazoles 8a–d [35] with acceptors at C2 linked through a thiazole-styryl π-linker (Figure 4). Whereas the series 5a–c and 7a–c showed promising optical nonlinearities, high thermal stability, excellent solubility, and good transparency, molecules 8a–d were investigated as two-photon absorbing chromophores (Table 2). Bu and co-workers also investigated the fluorescence properties of this family of imidazoles [36].
Figure 4: Y-shaped CT chromophores with an extended π-conjugated pathway and various donor and acceptor substitution patterns [16,33-35].
Figure 4: Y-shaped CT chromophores with an extended π-conjugated pathway and various donor and acceptor subst...
Table 2: Selected properties of chromophores 5–8 [33-35].
| Comp. | A | D |
λmaxa
[nm] |
μβb
[10−48 esu] |
δc
[10−50 GM] |
|---|---|---|---|---|---|
| 5a | – | Me | – | 145 | – |
| 5b | – | OMe | – | 130 | – |
| 5c | – | NMe2 | – | 360 | – |
| 6 | – | – | – | - | – |
| 7a | – | Me | 432 | 945 | – |
| 7b | – | OMe | 436 | 475 | – |
| 7c | – | NMe2 | 463 | 590 | – |
| 8a | NO2 | Me | 422 | – | 650 (720 nm) |
| 8b | NO2 | OMe | 433 | – | 1050 (720 nm) |
| 8c | SO2Me | Me | 398 | – | 1400 (740 nm) |
| 8d | SO2Me | OMe | 410 | – | 1700 (760 nm) |
aMeasured in CHCl3; bscalar product of the dipole moment and the molecular first-order hyperpolarizability measured in CHCl3 by EFISH experiments at 1907 nm; cthe 2PA cross section measured in CHCl3 by Z-scan technique (1 GM = 1 × 10−50 cm4·s·photon−1) at the given 2PA wavelengths.
In addition to the work of Moylan and Bu, several other groups, mainly from Asia, reported the synthesis and application of Y-shaped imidazole-derived CT chromophores. Wang and co-workers investigated simple tripodal chromophores 9a–d with nitro, dialkylamino, and hydroxy groups as acceptor and donors [13]. Whereas the imidazole- and thiazole-based chromophores 10a,b possess two extended π-linkers with the imino spacers at the imidazole C4/C5 and nitro and dimethylamino groups as acceptor and donor [15], chromophore 11 (VPDPI) represents a polarizable blue-light-emitting material [37]. The newly synthesized chromophores were investigated in terms of their absorption and emission properties, molecular first-order hyperpolarizability β, measured by solvatochromic method at 1907 nm, and thermal stability determined by TGA or DTA (Figure 5, Table 3). Imidazoles 12 (DIYSP, δ = 41 GM, [38,39]) and 13 (FD3, δ = 1556 GM, [40]) were developed as two-photon absorbing and fluorescent A-π-A’ chromophores, which undergo photopolymerization or can be applied as fluorescent sensors for (homo)cysteine. Donor 4,5-disubstituted imidazole derivatives 14 bearing a cyanoacrylic moiety connected to imidazole C2 by thiophene or thiazole π-linkers were recently utilized as dye-sensitized solar cells with an efficiency up to 6.3% [41].
Figure 5: Molecular structures of chromophores 9–14 [13,15,37-41].
Figure 5: Molecular structures of chromophores 9–14 [13,15,37-41].
Table 3: Linear and nonlinear optical properties and thermal stabilities of chromophores 9–11 [13,15,37].
| Comp. |
λmax,absa
[nm] |
λmax,emb
[nm] |
βc
[10−30 esu] |
TDd
[°C] |
|---|---|---|---|---|
| 9a | 403 | – | 68.42 | 300 |
| 9b | 388 | – | 36.92 | 282 |
| 9c | 345 | – | 89.01 | 299 |
| 9d | 380 | – | 54.65 | 265 |
| 10a | 358 | – | 40.66 | 227 |
| 10b | 417 | – | 17.31 | 289 |
| 11 | 380 | 465 (Φ = 0.61) | – | 367 |
aThe position of the longest-wavelength absorption maxima measured in 1,4-dioxane (9), MeOH (10), and EtOH (11); bthe position of the longest-wavelength emission maxima measured in EtOH; cmolecular first-order hyperpolarizability measured by solvatochromic method at 1907 nm; ddetermined by TGA or DTA.
Several similar classes of imidazole-derived push–pull compounds can be found in the literature. They were mainly investigated in terms of their synthesis and basic (non)linear optical properties [42-46].
Wu et al. utilized 4,5-bis(4-aminophenyl)imidazole as a suitable donor moiety for the construction of the nitro C2-substituted imidazole push–pull systems with extended and varied π-conjugated pathway 15a–g [16,17,47]. The π-linker comprises 1,4-phenylene (C6H4), thiophen-2,5-diyl (C4H2S), ethenylene, and azo subunits (Figure 6, Table 4). An evaluation of the NLO data in Table 4 clearly shows that an elongation of the π-linker by polarizable subunits, such as a double bond or a thiophene, increases the measured second-order hyperpolarizability β significantly and also shifts the CT band bathochromically.
Figure 6: General structure of 4,5-bis(4-aminophenyl)imidazole-derived chromophores 15a–g with various π-linkers [16,17,47].
Figure 6: General structure of 4,5-bis(4-aminophenyl)imidazole-derived chromophores 15a–g with various π-link...
Table 4: Properties of 4,5-bis(4-aminophenyl)imidazole-derived chromophores 15a–g [16,17,47].
| Comp. | π-linker |
λmaxa
[nm] |
μ
[D] |
βb
[10−30 esu] |
TD
[°C] |
|---|---|---|---|---|---|
| 15a | –(C6H4)– | 405 | 7.7 | 17.19 | 300 |
| 15b | –(C6H4)–CH=CH–(C6H4)– | 401 | 8.2 | 34.78 | 335 |
| 15c | –(C6H4)–N=N–(C6H4)– | 461 | 8.2 | 41.82 | 344 |
| 15d | –(C6H4)–IM–[4,5-di–(C6H4)]– | 384 | 10.9 | 50.91 | 377 |
| 15e | –(C4H2S)– | 419 | 8.6 | 22.52 | 286 |
| 15f | –(C4H2S)–CH=CH–(C6H4)– | 435 | 9.1 | 44.56 | 279 |
| 15g | –(C4H2S)–CH=CH–(C4H2S)–CH=CH–(C6H4)– | 463 | 9.1 | 101.9 | 268 |
aMeasured in THF; bcalculated by AM1/FF method (MOPAC).
In 2009, our group also contributed to Y-shaped imidazole-derived chromophores [11]. We synthesized a library of substituted lophines 16–19 with four types of donor–acceptor orientations (Figure 7): D-π-IM-(π-A)2 (16), A-π-IM-(π-D)2 (17), A-π-IM-(π-A)2 (18), and D-π-IM-(π-D)2 (19). 4,5-Bis(4-nitrophenyl)imidazole was utilized as a suitable acceptor moiety and was further modified with a thiophene π-linker as an auxiliary electron donor (20). These basic push–pull imidazoles were mainly investigated in terms of their facile synthesis, spectral properties, and thermal stability.
Figure 7: Various orientations of the substituents on the parent lophine π-conjugated backbone (16–19) and thiophene-substituted imidazoles 20 [11].
Figure 7: Various orientations of the substituents on the parent lophine π-conjugated backbone (16–19) and th...
The 4,5-bis[4-(N,N-dimethylamino)phenyl]imidazole unit, as in chromophores 17, was further used for the construction of A-π-IM-(π-D)2 systems 21–26 with a systematically extended π-conjugated pathway (Figure 8; [12]). These chromophores were synthesized by Debus–Radziszewski synthesis (Scheme 1), as two series of compounds with different acceptors A (NO2 or CN groups), and were investigated by electrochemistry, UV–vis and IR spectroscopy (CN), and quantum-chemical calculations (Table 5). Considering all the above measured and calculated properties, we can deduce that the following structure–property relationships determine the extent of ICT: (i) The presence of a strongly conjugating acceptor (NO2/CN); (ii) the π-system length and structure; and (iii) the overall chromophore planarity. Hence, chromophores 23a,b with fully planar, central 4-phenylbuta-1,3-dienyl π-linker, end-capped with 4,5-bis[4-(N,N-dimethylamino)phenyl]imidazole donor and nitro and cyano acceptors, feature good solubility in common organic solvents as well as the lowest measured electrochemical gaps Ep,a−Ep,c, the most bathochromically shifted CT bands (λmax), the lowest frequency of CN stretch (23b), and the highest calculated average second-order polarizabilities β within the studied series of compounds 21–26.
Figure 8: Structure and electronic absorption spectra of chromophores 21–26 [12].
Figure 8: Structure and electronic absorption spectra of chromophores 21–26 [12].
Table 5: Properties of chromophores 21–26 [12].
| Comp. | A | n |
Bonda
[.....] |
Ep,a−Ep,cb
[V] |
λmaxc
[nm (eV)] |
ν (CN)d
[cm−1] |
βe
[10−30 esu] |
mp
[°C] |
|---|---|---|---|---|---|---|---|---|
| 21a | NO2 | 0 | – | 1.62 | 457 (2.71) | – | 57.6 | 105–106 |
| 21b | CN | 0 | – | 2.53 | 397 (3.12) | 2221 | 36.8 | 123–125 |
| 22a | NO2 | 1 | d | 1.53 | 470 (2.64) | – | 59.6 | 163–167 |
| 22b | CN | 1 | d | 2.23 | 434 (2.86) | 2220 | 46.2 | 142–144 |
| 23a | NO2 | 2 | d | 1.48 | 474 (2.62) | – | 89.8 | 157–160 |
| 23b | CN | 2 | d | 2.06 | 442 (2.81) | 2218 | 66.9 | 161–163 |
| 24a | NO2 | 0 | – | 1.57 | 417 (2.97) | – | 48.1 | 159–162 |
| 24b | CN | 0 | – | 2.42 | 391 (3.17) | 2223 | 39.9 | 170–173 |
| 25a | NO2 | 1 | d | 1.53 | 434 (2.86) | – | 78.0 | 165–166 |
| 25b | CN | 1 | d | 2.23 | 407 (3.05) | 2219 | 41.7 | 165–168 |
| 26a | NO2 | 1 | t | 1.46 | 420 (2.95 | – | 84.6 | 262–264 |
| 26b | CN | 1 | t | 2.26 | 405 (3.06) | 2220 | 63.1 | 162–165 |
ad/t = double/triple bond; bEp,a and Ep,c are anodic and cathodic peak potentials measured by CV (potentials given vs. SCE); cmeasured in CH2Cl2; dfrequency of the C≡N stretch (series b); ecalculated average second polarizability by AM1/FF (MOPAC).
The nonlinear optical properties of donor- and acceptor-substituted five-membered heterocycles, such as imidazole, oxazole, and thiazole, were also investigated by DFT calculations [48,49]. These theoretical results confirmed, in general, the experimental data and trends discussed above.
Diimidazole-derived chromophores
The aforementioned charge-transfer chromophores 4–26 consist of a 1,2,4,5-tetrasubstituted imidazole ring, which may act as either a donor or acceptor moiety depending on the orientation of substituents. A π-conjugated backbone end-capped with donor- and acceptor-substituted imidazole rings constitutes a diimidazole-derived push–pull, push–push, and pull–pull charge-transfer chromophore. The most common synthetic approach to diimidazoles, with the rings connected at C2, is shown in Scheme 1. Typical diimidazole chromophores in D-π-A arrangement (Figure 9) were investigated by Wu and Ye et al. [16-18,50-53]. Compounds 27a (λmax = 384 nm; β(AM1) = 50.91 × 10−30 esu; TD = 377 °C) and 27c (λmax = 379 nm; β(AM1) = 29.5 × 10−30 esu; β(HRS) = 142 × 10−30 esu; TD = 360 °C) with free amino or hydroxy groups were further used as reactive species for the functionalization of various polymers (see below).
Figure 9: Typical D-π-A diimidazole CT chromophore [16-18,50-53].
Figure 9: Typical D-π-A diimidazole CT chromophore [16-18,50-53].
Within the last ten years, diimidazole D-π-D systems were extensively studied, in particular for their easy synthesis and unique properties [19,54-56]. Their general structure is shown in Figure 10 and selected properties are summarized in Table 6. Compounds 28–31 showed luminescent, photoluminescent, fluorescent or phosphorescent properties with the prospect for application in modern materials chemistry. This year, Liu, Yin, and co-workers [57,58] published a very nice example of photoswitchable diimidazole chromophores 32,33 with a distinct difference in optical properties between the open and closed forms.
Figure 10: Typical D-π-D diimidazoles 28–31 [19,54-56] and photochromic diimidazoles 32,33 [57,58].
Figure 10: Typical D-π-D diimidazoles 28–31 [19,54-56] and photochromic diimidazoles 32,33 [57,58].
Table 6: Structure and selected properties of diimidazoles 28–33 [19,54-58].
| Comp. | π-linker/structure | (Het)Ar/D | R |
λmax,abs
[nm] |
λmax,em
[nm] |
TD
[°C] |
Prospective application [reference] |
|---|---|---|---|---|---|---|---|
| 28 | 9,9,9’,9’,9’’,9’’-hexaoctylterfluorene | Ph | H | 363a | 433b | 402 | luminescence material [54] |
| 29 | poly-(1,4-phenylene) | 4-C8H17Ph | H | 378c | 478c | 220 | photoluminescent material [19] |
| 30a | 1,4-phenylene | Ph | H | 361d | 424d | – | fluorescent materials – molecular photonics and sensing [55] |
| 30b | 1,4-phenylene | 4-MeOPh | H | 365d | 440d | – | |
| 30c | 1,4-phenylene | Ph | Me | 337d | 417d | – | |
| 30d | thiophen-2,5-diyl | Ph | H | 385d | 458d | – | |
| 30e | thiophen-2,5-diyl | 4-MeOPh | H | 393d | 470d | – | |
| 30f | thiophen-2,5-diyl | Ph | Me | 368d | 452d | – | |
| 31a | 1,4-phenylene-thiophen-2,5-diyl | thiophene | H | 385e | 485e | 479 | fluorescent and phosphorescent materials – light-emitting device [56] |
| 31b | 2,2’-bithiophen-5,5’-diyl | thiophene | H | 407e | 513e | 440 | |
| 32a | D = H; X = H | – | H | 334/550f | 400g | – | photochromic and fluorescent materials – optical switches [57] |
| 32b | D = Me; X = H | – | H | 336/552f | 403g | – | |
| 32c | D = OMe; X = H | – | H | 340/554f | 413g | – | |
| 32d | D = NMe2; X = H | – | H | 320/568f | 462g | – | |
| 32e | D = H; X = H | – | Me | 296/542f | 399g | – | |
| 32f | D = Me; X = H | – | Me | 296/542f | 401g | – | |
| 32g | D = OMe; X = H | – | Me | 292/544f | 412g | – | |
| 33a | D = H; X = F | – | H | 332/664f | – | – | photochromic materials – photoswitches and photoresponsive materials [58] |
| 33b | D = Me; X = F | – | H | 337/651f | – | – | |
| 33c | D = OMe; X = F | – | H | 343/682f | – | – | |
| 33d | D = H; X = F | – | Me | 318/630f | – | – | |
| 33e | D = Me; X = F | – | Me | 322/632f | – | – | |
| 33g | D = OMe; X = F | – | Me | 328/638f | – | – | |
aMeasured in 1,4-dioxane; bmeasured in cyclohexane; cmeasured in THF; dmeasured in MeCN; emeasured in EtOH; fabsorption maxima of open-ring/closed-ring isomers measured in DMF; gemission maxima of open-ring isomer (before UV irradiation) measured in DMF.
N-Unsubstituted diimidazoles can easily be oxidized to the corresponding quinoid structure (2H-imidazole derivatives), as shown in Scheme 3 [19,59-61]. In 1999, Ye et al. [61] reported the oxidation of D-π-A diimidazole 27a to quinoid 34 and a comparison of the linear and nonlinear optical properties. Partially planarized quinoid 34 (μ = 19.0 D; β of 205.7 × 10−30 esu) showed a substantially higher dipole moment and first-order hyperpolarizability than chromophore 27a (Figure 9; μ = 10.9 D; β = 50.91 × 10−30 esu) due to a higher efficiency of D-A conjugation.
Scheme 3: Oxidation of 1H-diimidazoles to 2H-diimidazoles (quinoids).
Scheme 3: Oxidation of 1H-diimidazoles to 2H-diimidazoles (quinoids).
Benzimidazole-derived chromophores
In contrast to imidazoles, benzimidazoles possess fused benzene or higher (hetero)aromates, generally appended at C4/C5. This arrangement enables (i) an extension of the chromophore π-conjugated system; (ii) a planarization of the molecule; (iii) facile functionalization of the fused aromate by known methods; and (iv) a straightforward synthesis starting from inexpensive and readily available compounds (Scheme 1). Typical representatives of benzimidazole-derived D-π-A systems are shown in Figure 11. In 2004, Carella, Centore, and co-workers [25] reported the synthesis and further application of nitrobenzimidazole-derived anilines 35 and 36. These two compounds were further used for the construction of various charge-transfer chromophores 37–43, in particular by simple diazotation and subsequent azo-coupling of the terminal NH2 group [62-66]. Chromophores 37–43 found wide application as polymer dopants, cross-linkable organic glasses or inorganic–organic hybrid materials and showed high, stable, and tunable NLO performances, very good thermal stability, and, last but not least, easy synthesis from low-cost commercial precursors (Table 7).
Figure 11: Typical benzimidazoles-derived D-π-A push–pull systems 35–43 [25,62-66].
Figure 11: Typical benzimidazoles-derived D-π-A push–pull systems 35–43 [25,62-66].
Table 7: Structures and (N)LO properties of benzimidazoles 37–43 [25,62-64].
| Comp. | n | R | R1 | R2 |
λmax,absa
[nm] |
β·μ |
TD
[°C] |
|---|---|---|---|---|---|---|---|
| 37 | 0 | H | CH2CH2OH | CH2CH2OH | 472 | 940b | 296 |
| 38 | 0 | Et | CH2CH2OH | CH2CH2OH | 466 | 950b | 295 |
| 39 | 1 | H | CH2CH2OH | CH2CH2OH | 482 | 1550b | 292 |
| 40 | 1 | Et | CH2CH2OH | CH2CH2OH | 487 | 1400b | 314 |
| 41 | 0 | Et | CH2CH2OMAc | CH2CH2OMAc | 435 | 660b | 300 |
| 42 | 0 | H | CH2CH2OH | CH2CH3 | 476 | 2306d | 274 |
| 43 | 1 | H | CH2CH2OH | CH2CH3 | 480 | 3129d | 244 |
aMeasured in DMF; bmeasured in DMF by EFISH technique at 1907 nm (10−48 esu); cMA = methacrylate; dmeasured by solvatochromic method at 1907 nm (10−30 esu·D).
Raposo and co-workers investigated benzimidazole derivatives 44–47 with either a donor- or acceptor-substituted benzene ring, whose π-conjugated pathways comprise thiophene and pyrrole subunits [24]. This series of chromophores was further extended by arylthienylimidazole phenanthrolines 48–52 and oligothienylimidazole phenanthrolines 53–57 (Figure 12; [23,67]). The benzo[d]imidazole core in compounds 46–57 behaves as an electron acceptor and, when substituted with electron donors at C2, an efficient ICT can be achieved. Consequently, the measured hyperpolarizabilities β increase with the rise in donating ability of the appended donors or extension of the π-conjugated path. Thiophene, used as a part of the π-linker, particularly in chromophores 53–57, caused β enhancement up to 320 × 10−30 esu (Table 8). This clearly demonstrates the beneficial role of the thiophene as a polarizable unit and auxiliary electron donor. A combination of fused phenanthroline-imidazole acceptor moiety, N,N-dimethylamino donor, and arylthienyl π-linker, as in 50, resulted in a CT chromophore with β = 189 × 10−30 esu. It should also be noted that all chromophores showed exceptionally high thermal stability with TD up to 470 °C.
Figure 12: Structure of benzimidazoles (44–47), imidazophenanthrolines (48–57), imidazophenanthrenes (58–60), fluorophores 61, 62, and TCAQ-imidazo-TTF (63) chromophores [23,24,67-71].
Figure 12: Structure of benzimidazoles (44–47), imidazophenanthrolines (48–57), imidazophenanthrenes (58–60), ...
Table 8: Structure and properties of chromophore 44–57 [23,24,67].
| Comp. | n | R |
λmaxa
[nm] |
βb
[10−30 esu] |
TD
[°C] |
|---|---|---|---|---|---|
| 44 | – | H | 361 | 60 | 380 |
| 45 | – | OMe | 364 | – | 401 |
| 46 | – | CN | 367 | 114 | 390 |
| 47 | – | NO2 | 363 | 121 | 365 |
| 48 | – | H | 361 | 41 | 470 |
| 49 | – | OMe | 370 | 145 | 431 |
| 50 | – | NMe2 | 391 | 189 | 448 |
| 51 | – | CN | 386 | 91 | 465 |
| 52 | – | NO2 | 408 | 45 | 450 |
| 53 | 1 | H | 337 | 26 | 441 |
| 54 | 1 | OMe | 346 | 110 | 341 |
| 55 | 2 | H | 384 | 46 | 451 |
| 56 | 2 | OMe | 393 | 170 | 423 |
| 57 | 3 | H | 412 | 320 | 467 |
aMeasured in 1,4-dioxane; bfirst-order hyperpolarizability measured in 1,4-dioxane by hyper-Rayleigh scattering (HRS) method at 1064 nm.
Recently, Cui et al. investigated simple phenanthro[9,10-d]imidazoles 58–60 as two-photon absorbing molecules with blue upconversion fluorescence [68]. These imidazole derivatives proved to be potent two-photon absorbing molecules with TPA cross-section δ up to 20.65 GM at 800 nm. The molecular structure of chromophore 60 was also confirmed by X-ray analysis. Similar derivatives 61 (DOFIPh), based on the fluoreno[2,3-d]imidazole core, showed strong and tunable blue emission in the solid state (λmax,em = 417–526 nm in film), which makes these molecules potentially applicable as active layers for OLEDs [69]. Chromophores 62 were investigated as photoluminescence materials with λmax,abs = 324–367 nm and λmax,em = 393–470 nm, respectively [70].
In 2007, Liu et al. reported a very nice example of D-π-A system 63 based on benzimidazole as a parent π-conjugated backbone fused with TCAQ (tetracyanoanthraquinodimethane) and TTF (tetrathiafulvalene) as acceptor and donor moieties, respectively [71]. This molecule was investigated in terms of absorption spectroscopy, X-ray analysis, and electrochemistry and showed remarkable responses as a function of pH. Unfortunately, no NLO properties were investigated.
Benzimidazole-derived compounds were recently also used as chromophores with switchable properties. Benzimidazolo[2,3-b]oxazolidines 64, 65 showed acidochromic behavior with remarkable contrast τo/c in the NLO responses along the reversible transformation observed by HRS (Scheme 4; [72]). Whereas the open form of 64, 65 with strong ICT showed λmax at 402 and 406 nm and longitudinal hyperpolarizabilities βzzz at 27500 and 13600 au, the closed form showed only diminished nonlinearities due to the interruption of efficient D-A conjugation.
Scheme 4: Acidoswitchable NLO-phores 64,65 and ESIPT mechanism [72-74].
Scheme 4: Acidoswitchable NLO-phores 64,65 and ESIPT mechanism [72-74].
Compounds showing excited-state intramolecular proton transfer (ESIPT) represent another example of switchable NLO-phores (Scheme 4). Donor- and acceptor-substituted push–pull systems 66 based on 2-(2-hydroxyphenyl)benzo[d]imidazole showed efficient photoinduced blue-green proton-transfer fluorescence [73,74]. Taking the amino/nitro-substituted derivative as an example (R1 = NO2; R2 = H; R3 = NH2; LEN [73]), this compound showed absorption and emission maxima at 373 and 448 nm, respectively, and large first-order hyperpolarizability β = 1197 × 10−30 esu. The combination of such properties makes this compound a promising material for storing information at the molecular level.
Similar to diimidazole compounds 27–34, two benzimidazole cores may also be incorporated into the chromophore backbone. The molecular structures of recently investigated bis(benzimidazole)-derived chromophores 67–71 are shown in Figure 13. All these bis(benzimidazole) systems were primarily studied as fluorescent compounds. Polymeric chromophores 67 and 68 showed blue fluorescence with emission maxima at 410–515 nm [75]. A-π-D-π-A molecules 69 featuring a central phenothiazine donor moiety and two peripheral benzimidazole acceptor units were investigated by Ahn et al. [76]. These ambipolar molecules possess energy levels that are well-matched with the Fermi levels of the electrodes to facilitate the electron or hole injection and transfer in OLED devices. 2,5-Bis(benzimidazol-2-yl)pyrazine derivatives 70 (BBIP), with improved solubility through N,N’-dialkylation, exhibited high fluorescence intensity even in protic solvents, as well as interesting solvatochromic properties [77]. Terphenyl-bridged bis(benzimidazolium) salts 71, soluble in water and common organic solvents, emit blue light with λmax,em at 420–441 nm in thin films [78]. This feature makes them potentially applicable as blue-light emitters in OLEDs.
Figure 13: General structures of bis(benzimidazole) chromophores 67–71 and pyridinium betaines 72 [75-79].
Figure 13: General structures of bis(benzimidazole) chromophores 67–71 and pyridinium betaines 72 [75-79].
Benzimidazole-based push–pull systems were studied also theoretically. Abe et al. studied pyridinium betaines of general formula 72 consisting of negatively charged benzimidazolate and a positively charged pyridinium ion (Figure 13; [79]). Moreover, the π-conjugated system was systematically enlarged and either donor- or acceptor-substituted in order to generate D-π-A-π-D and D-π-A-π-A systems. The performed ab initio and INDO/S MO calculations of ground-state dipole moments and first-order hyperpolarizabilities β revealed that the latter chromophore arrangement resulted in significantly enhanced nonlinearities. The benzimidazolate anion as a donor moiety was quantum-chemically studied also by Xu, Su, and co-workers [80]. Structurally highly similar chromophores to 44–47 (Figure 12), reported by Raposo [24], were investigated by means of molecular geometry optimization, absorption/emission spectra, first-order hyperpolarizability calculations, and simulation of NH proton abstraction by using a fluoride anion. Remarkably large differences between the β values of protonated/deprotonated forms showed that benzimidazoles are potent molecules for a new type of NLO molecular switching.
Chromophores featuring a 4,5-dicyanoimidazole acceptor moiety
Since the discovery of 4,5-dicyanoimidazole by Woodward in 1950 (Scheme 2; [27]), this imidazole derivative has become one of the “standard acceptor moieties” used in materials organic chemistry. The primary development and popularization of this molecule can be ascribed to Rasmussen and co-workers as early as the 1980s–1990s. Over a period of 20 years, Rasmussen et al. published an admirable number of articles dealing with the synthesis, combination, functionalization, and application of 4,5-dicyanoimidazoles. Figure 14 shows a selection of Rasmussen’s 4,5-dicyanoimidazole derivatives, such as vinazene 73 [29,81], push–pull amines and betaines 74–78 [82-87], alkoxy derivatives 79,80 [88], biimidazoles 81 [89-92], and triimidazoles 82 [93,94], as well as fullerenes [95] and polymers [96-99].
Figure 14: Overview of 4,5-dicyanoimidazole derivatives investigated by Rasmussen et al. [29,81-94].
Figure 14: Overview of 4,5-dicyanoimidazole derivatives investigated by Rasmussen et al. [29,81-94].
The chemistry of 4,5-dicyanoimidazole was reviewed in 1987 by Donald and Webster [100] and its application in liquid-crystal media and devices was again summarized in a Merck patent in 2004 [101].
In 2004 and 2005, Carella, Centore, and co-workers utilized 2-amino-4,5-dicyanoimidazole 83 (for X-ray structure analysis, see [102]) in the synthesis of chromophores 84–86 featuring central phenylazo π-linker, 4,5-dicyanoimidazole as acceptor, and N,N-dialkylamino donor (Figure 15; [103,104]). The nonlinear optical properties of these three chromophores were investigated by EFISH experiment (Table 9). The molecular structure of chromophore 84 was also confirmed by X-ray analysis. These chromophores, with free terminal OH-functions, were further used as monomers for copolymerization with polyester, polyuretane, and polymethacrylate (see below). Structurally very similar chromophore 87 (R = H; R1 = CH2CH2OH; R2 = Et) was used for incorporation into the sol–gel hybrid films based on alkoxysilanes [105,106]. This new material is to be applied as an electro-optic modulator.
Figure 15: 4,5-Dicyanoimidazole-derived chromophores 84–87 [103-106].
Figure 15: 4,5-Dicyanoimidazole-derived chromophores 84–87 [103-106].
Table 9: Structures, optical (linear and nonlinear), and thermal properties of chromophores 84–86 [103,104].
| Comp. | R | R1 | R2 |
λmaxa
[nm] |
μ·βb
[10−48 esu] |
TD
[°C] |
|---|---|---|---|---|---|---|
| 84 | H | CH2CH2OH | CH2CH2OH | 462 | 1050 | 230c |
| 85 | H | CH3 | CH2CH2OMA | 459 | 1000 | 249 |
| 86 | Et | CH3 | CH2CH2OMA | 496 | 800 | 236 |
aMeasured in DMF (84) and CHCl3 (85, 86); bmeasured in DMF by the EFISH technique at 1907 nm; cmelting point.
Our synthetic efforts in the field of 4,5-dicyanoimidazole-derived chromophores began with the initial set of push–pull molecules 88–93 (Figure 16; [30]). Chromophores 88–93 were synthesized by Suzuki–Miyaura cross-coupling reactions [107] on 2-bromoimidazole 2 (Scheme 2) as three series a, b, and c according to the type of the used donor D (H, OMe, and NMe2). The π-conjugated path was systematically varied and enlarged in order to study its influence on the chromophore polarizability. The chromophores were primarily investigated by electronic-absorption spectra, electrochemistry, X-ray analysis, and quantum-chemical calculations. The resulting data set was further processed by factor analysis to deduce the structure–property relationships. The most important structural factors affecting the (non)linear optical properties and electrochemical behavior are (i) the presence of a strongly conjugating donor and (ii) the length and (iii) planarity of the π-conjugated system. In this respect, chromophores 90c, 92c, and 93c seem to possess one of the better balances between performance and practicality within the studied series.
Figure 16: Push–pull chromophores 88–93 with systematically extended π-linker [30].
Figure 16: Push–pull chromophores 88–93 with systematically extended π-linker [30].
The photoinduced absorption, birefringence, and second-harmonic generation of chromophores 88c–93c (D = NMe2) embedded within polymethylmethacrylate matrices were studied and complimented by quantum-chemical calculations. These doped polymer films showed very efficient and tunable nonlinearities with βav ranging from 899 to 25798 au (Table 10; [108]).
Table 10: Properties of chromophores 88–93 [30,108-110].
| Comp. | D |
Δ(Eox,1−Ered,1)a
[V] |
EHOMO−ELUMO
[eV] |
λmax,absb
[nm (eV)] |
λmax,emc
[nm]/Φ |
βd
[10−30 esu] |
βave
[au] |
βzzzf
[au] |
|---|---|---|---|---|---|---|---|---|
| 88a | H | – | 9.19 | 244 (5.08) | – | 1.5 | – | – |
| 88b | OMe | 4.09 | 8.63 | 271 (4.58) | – | 3.5 | – | – |
| 88c | NMe2 | 3.34 | 8.51 | 293 (4.23) | 361/0.05 | 2.7 | 899 | – |
| 89a | H | 4.06 | 8.69 | 264 (4.70) | 320/0.28 | 2.6 | – | – |
| 89b | OMe | 3.65 | 8.30 | 275 (4.51) | 354/0.65 | 8.3 | – | – |
| 89c | NMe2 | 2.85 | 7.73 | 316 (3.92) | 452/0.37 | 14.6 | 5657 | 9710 |
| 90a | H | 3.37 | 7.98 | 313 (3.96) | – | 5.3 | – | – |
| 90b | OMe | 3.08 | 7.69 | 331 (3.75) | – | 18.2 | – | – |
| 90c | NMe2 | 2.50 | 7.27 | 381 (3.25) | 470/0.04 | 32.7 | 16750 | 19708 |
| 91a | H | 3.70 | 8.38 | 286 (4.34) | 351/0.87 | 5.2 | – | – |
| 91b | OMe | 3.34 | 7.90 | 301 (4.12) | 388/0.98 | 13.0 | – | – |
| 91c | NMe2 | 2.64 | 7.31 | 346 (3.58) | 485/0.64 | 21.9 | 10754 | 14408 |
| 92a | H | 3.30 | 7.78 | 325 (3.82) | 390/0.59 | 13.2 | – | – |
| 92b | OMe | 3.03 | 7.47 | 331 (3.75) | 425/0.15 | 30.7 | – | – |
| 92c | NMe2 | 2.39 | 7.07 | 380 (3.26) | 528/0.53 | 49.1 | 25978 | 18660 |
| 93a | H | 3.63 | 7.96 | 308 (4.03) | 361/0.80 | 9.3 | – | – |
| 93b | OMe | 3.25 | 7.63 | 323 (3.84) | 396/0.83 | 22.8 | – | – |
| 93c | NMe2 | 2.50 | 7.17 | 364 (3.41) | 515/0.73 | 37.1 | 23401 | 24674 |
aMeasured by DC polarography and RDV, potentials are given vs. SCE; babsorption maxima measured in CH2Cl2; cemission maxima/quantum yields measured in EtOAc; dPM3/PM6 calculated values (MOPAC); emeasured in poly(methyl methacrylate) by SHG experiment at 1064 nm; flongitudinal molecular first hyperpolarizabilities measured in CH2Cl2 by HRS experiment at 1064 nm.
Moreover, the N,N-dimethylamino donor in 88c–93c can easily be protonated. Whereas in the unprotonated form (88c–93c), an efficient ICT from the donor to the acceptor exists (D-π-A system), in the protonated forms (88cH+–93cH+) only diminished ICT between the π-linker and the peripheral acceptors A and A+ takes place (Figure 17; [109]). This results in a high contrast in the nonlinearities between both forms (Table 11) as well as in a raised energy and character of the HOMO (Figure 17). Hence, chromophores 88c–93c proved to be very efficient pH-triggered NLO switches.
Figure 17: pH-triggered NLO switches 88c–93c [109].
Figure 17: pH-triggered NLO switches 88c–93c [109].
Table 11: HRS first hyperpolarizabilities (β) and depolarization ratios (DR) of 88c–93c before/after protonation (CH2Cl2) [109].
| Comp. | Unprotonated | Protonated | Contrast | ||
|---|---|---|---|---|---|
|
βHRS (−2ω;ω;ω)
[au] |
DR |
βHRS (−2ω;ω;ω)
[au] |
DR | ||
| 88c | 379 | 4.87 | 114 | 1.78 | 3.32 |
| 89c | 1938 | 5.48 | 256 | 1.65 | 7.57 |
| 90c | 10485 | 5.11 | 541 | 1.87 | 19.38 |
| 91c | 3264 | 5.40 | 290 | 2.28 | 11.26 |
| 92c | 8485 | 5.15 | 361 | 1.78 | 23.50 |
| 93c | 8236 | 5.15 | 639 | 2.44 | 12.89 |
The fluorescent and photophysical properties of chromophores 88–93 were further studied [110,111]. The fluorescence was studied in various solvents and polymer matrices and at various temperatures. Intense fluorescence with quantum yields of 0.05 to 0.98 was observed in nonpolar solvents and polymer matrices within the range of 320 to 528 nm (Table 10).
The first set of 4,5-dicyanoimidazole-derived chromophores 88–93 possessed only one donor at the imidazole C2. Hence, our further synthetic efforts were focused on the synthesis of branched chromophores 95–100 (Figure 18; [112]). The synthesis of this series of chromophores involved two-fold Suzuki–Miyaura and Sonogashira cross-coupling reactions on dibromoolefin 94 (for X-ray structure see [113]). This compound proved to be a very useful, fully planar precursor for the construction of a chromophore π-conjugated backbone. In contrast to 88–93, the presence of two (or four) N,N-dimethylamino donors and the systematic extension of the π-linkers in 95–100 resulted in a bathochromically shifted CT-band, lowered electrochemically measured and calculated HOMO–LUMO gaps, and enhanced first-order hyperpolarizability up to 70 × 10−30 esu (Table 12).
Figure 18: Dibromoolefin 94 and branched chromophores 95–100 [112,113].
Figure 18: Dibromoolefin 94 and branched chromophores 95–100 [112,113].
Table 12: Structures and selected properties of branched chromophores [112].
| Comp. | R | n |
Δ(Eox,1−Ered,1)
[V] |
EHOMO−ELUMO
[eV] |
λmaxa
[nm (eV)] |
βb
[10−30 esu] |
|---|---|---|---|---|---|---|
| 95 |
|
0 | 2.80 | 7.48 | 349 (3.55) | 18.3 |
| 96 |
|
1 | 2.35 | 6.85 | 429 (2.90) | 31.2 |
| 97 |
|
1 | 2.10 | 6.68 | 416 (2.98) | 33.1 |
| 98 |
|
1 | 1.84 | 6.48 | 437 (2.84) | 70.2 |
| 99 |
|
1 | 2.10 | 6.61 | 407 (3.05) | 49.0 |
| 100 |
|
1 | 2.00 | 6.64 | 450 (2.76) | 32.6 |
aMeasured in CH2Cl2; baverage second-order polarizabilities calculated by PM3/PM6 methods (MOPAC).
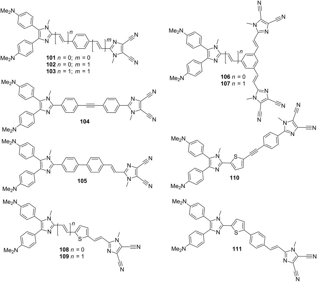
A combination of donor and acceptor 4,5-disubstituted imidazoles, namely 4,5-bis[4-(N,N-dimethylamino)phenyl]imidazole and 4,5-dicyanoimidazole as in 21–26 (Figure 8) and 88–100 (Figure 16 and Figure 18), respectively, resulted in diimidazole-type chromophores 101–111 (Figure 19; [20]). In contrast to a typical synthetic approach to diimidazoles as shown in Scheme 1, we used 4,5-dicyanoimidazole derivatives 1–3 (Scheme 2) and modern direct arylation, Suzuki–Miyaura, Sonogashira, and Heck reactions to construct molecules 101–111. These chromophores possess two (or three) imidazole parent π-backbones, either as donor or acceptor moieties, and a systematically extended π-linker. Thiophene, in combination with double bonds, was used as a highly polarizable subunit of the π-linker, which resulted in very efficient chromophores with first- and second-order hyperpolarizabilities β and γ up to 526 × 10−30 and 315 × 10−27 esu, respectively (Table 13, chromophore 109). In general, this series of diimidazole-based compounds featured the most efficient NLO-phores.
Figure 19: Imidazole as a donor–acceptor unit in CT-chromophores 101–111 [20].
Figure 19: Imidazole as a donor–acceptor unit in CT-chromophores 101–111 [20].
Table 13: Diimidazole chromophores 101–111; properties [20].
| Comp. |
Δ(Eox,1−Ered,1)
[V] |
EHOMO−ELUMO
[eV] |
λmaxa
[nm (eV)] |
βb
[10−30 esu] |
γb
[10−27 esu] |
|---|---|---|---|---|---|
| 101 | 2.39 | 6.63 | 366 (3.39) | 38.2 | 3.61 |
| 102 | 2.17 | 6.48 | 404 (3.07) | 38.2 | 5.17 |
| 103 | 2.08 | 6.35 | 444 (2.79) | 66.0 | 8.99 |
| 104 | 2.31 | 6.35 | 373 (3.32) | 44.8 | 6.26 |
| 105 | 2.17 | 6.38 | 382 (3.25) | 38.4 | 5.78 |
| 106 | 2.12 | 6.49 | 316 (3.92) | 25.5 | 4.51 |
| 107 | 2.10 | 6.44 | 394 (3.15) | 39.6 | 5.97 |
| 108 | 2.11 | 6.65 | 448 (2.77) | 299.0 | 164.05 |
| 109 | 1.95 | 6.14 | 479 (2.59) | 526.3 | 315.15 |
| 110 | 2.27 | 6.80 | 413 (3.00) | 82.2 | 45.91 |
| 111 | 2.11 | 6.47 | 420 (2.95) | 47.9 | 20.18 |
aMeasured in CH2Cl2; baverage second/third-order polarizabilities calculated by PM3/PM6 methods (MOPAC).
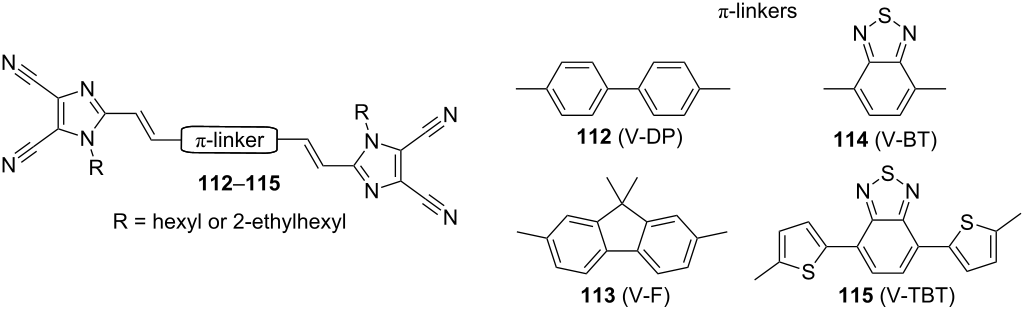
Organic π-conjugated materials based on 4,5-dicyanoimidazole were recently developed as opto-electronic materials with a practical application. For instance, in 2002 Yang et al. [114] reported a fairly simple organic-electrical bistable device (OBD) based on amine 83 (Figure 15). Yang’s OBD consisted of organic material based on 83 with a built-in thin aluminum active layer. The OBD’s conductivity in the two electric states was considerably different, and, moreover, the OBD showed remarkable stability without significant device degradation over a million write–erase cycles. Hence, the performance of this device makes OBD attractive for application in rewritable memory cells. In 2007, Sellinger et al. became very interested in the Heck coupling of N-alkyl vinazenes with various (hetero)aromates [115]. This synthetic interest resulted in four new diimidazole compounds 112–115 (Figure 20). This series of basic π-conjugated compounds was significantly extended in 2009 by a library of various π-linkers [116]. As a materials researcher, Sellinger applied these n-type conjugated materials as small-molecule electron acceptors. The combination of V-BT (114) with polyhexylthiophene donor (P3HT) in an initial organic solar cell showed high external quantum efficiencies exceeding 14%. Sellinger’s further efforts were focused on improving optical, photovoltaic, and charge-transport properties as well as efficiencies of V-BT derived solar cells. Thus, he studied new processing techniques for solar cells, the use of various semiconducting donor polymers, nanoimprint lithography, etc. [117-120]. This effort resulted in organic photovoltaic devices with a very high fill factor FF = 57% and an external quantum efficiency IPCE (incident photons converted to electrons) = 27%. These values rival those measured for popular fullerene acceptors.
Figure 20: Diimidazoles 112–115 used as small electron acceptors in organic solar cells [115,116].
Figure 20: Diimidazoles 112–115 used as small electron acceptors in organic solar cells [115,116].
Imidazole chromophores incorporated into the polymer
Recently, imidazole-derived CT chromophores found wide application either as polymer dopants (guest–host systems) or in polymers with chemically bonded NLO-phores (side-chain, main-chain, and cross-linked). An incorporation of the chromophore into the polymer backbone brings with it a higher and facile polarizability, higher thermal stability, and NLO responses as well as prospective applicability in modern materials chemistry. The second-order susceptibilities of nonlinear optical polymers are historically referred to as “dij” coefficients (1/2 of the respective χij(2) values). The electro-optic coefficient rij, indicating the degree of the refractive index change caused by a unit increase in the voltage applied across the polymer film, is another important feature of the nonlinear optical polymer waveguides. The relationship between the d and r coefficients can be simplified according to the following equation
where n is the index of refraction. However, only two components of the d and r coefficients that are parallel and perpendicular to the average dipolar chromophore axis are important and investigated (d33, d31 and r33, r31). The physical stability of the nonlinear optical polymers refers to the stability of alignment of the chromophore. The glass transition temperature (Tg) and the decomposition temperature (TD) are the most widely provided parameters of polymer physical stability. The polar order of the polymer (centrosymmetry removal) is usually achieved by the electric-field, thermal (Tp) and optical poling procedures [121]. Only the polymer systems with covalently attached imidazole CT chromophores will be discussed in the following section.
4,5-Bis(4-aminophenyl)(bi)imidazole (e.g. 15/27a; Figure 6/Figure 9) and 4,5-bis(4-hydroxyphenyl)diimidazole (i.e., 27c; Figure 9) represent simple chromophores with free NH2 and OH peripheral groups, which can be used to link the chromophore to various polymers (Figure 21). These systems were mainly investigated by Ye et al. (Table 14; [18,50-53,122-124]). The polyimides 116–118 (X = NH) were prepared by the copolymerization (Michael addition) of N,N’-bismaleiimido-4,4’-diphenylmethane (BMI) with Y-shaped imidazole chromophores 15 featuring a slightly extended π-linker. These polymers were thermally poled to achieve moderate nonlinearity and good thermal stability [122,123]. Similar reaction of 2,5-bis(4-N-maleiimido)phenyl-3,4-diphenylthiophene (BMPDPTH) with chromophore 15f afforded system 119 with significantly enhanced nonlinearity (d33 = 32.2 pm/V) [124] as a result of the π-linker extension through the thiophene and double-bond subunits. Diimidazole 27a (X = NH) was also utilized as a reactive chromophore for copolymerization with BMPDPTH and 1,4-phenylene diisocyanate (PDI) to provide polyimide 120 and polyurea 121 [50-53]. Ye also investigated the similar (bi)imidazole-derived polymers 122 and 123 (X = OH) with a polyuretane backbone generated after copolymerization with 3,3’-dimethoxy-4,4’-biphenylene diisocyanate (DMBPDI) [18]. However, the measured nonlinearities and thermal stabilities of these polymers did not exceed that measured for 119 (Table 14).
Figure 21: Amino- and hydroxy-functionalized chromophores incorporated into a polymer backbone Rpol [18,50-53,122-124].
Figure 21: Amino- and hydroxy-functionalized chromophores incorporated into a polymer backbone Rpol [18,50-53,122-124].
Table 14: Nonlinear optical polymers 116–123; properties [18,50-53,122-124].
| Comp. | Chromophore/π-linker | X | Monomer |
d33
[pm/V] |
Tg
[°C] |
TD
[°C] |
|---|---|---|---|---|---|---|
| 116 | 15a (65%)/–(C6H4)– | NH | BMI | – | 262 | 335 |
| 117 | –N=N–(C6H4)– | NH | BMI | 13.6 | 250 | 331 |
| 118 | –CH=CH–(C6H4)– | NH | BMI | 11.3 | 258 | 335 |
| 119 | 15f/–(C4H2S)–CH=CH–(C6H4)– | NH | BMPDPTH | 32.2 | 304 | 330 |
| 120 | 27a | NH | BMPDPTH | 16.4 | 234 | 380 |
| 121 | 27a | NH | PDI | 24.0 | 272 | 290 |
| 122 | –(C6H4)– | O | DMBPDI | 12.0 | 202 | 300 |
| 123 | 27c | O | DMBPDI | 15.0 | 223 | 335 |
Tang et al. showed another approach to producing nonlinear optical polymers. The synthetically easily available hydroxy lophine 124 was covalently bonded to the polyphosphazene backbone and subsequently modified by post-azo coupling with variously substituted benzenediazonium salts to afford systems 125–130 (Figure 22; Table 15; [125-127]). These systems possess good optical transparency, high Tg, and large d33 (SHG) and photoinduced birefringence values relative to those known for polyphosphazenes to date. Last but not least, this simple synthetic pathway opens space for manifold elaboration and functionalization of various prepolymers in order to enhance their nonlinearities.
Figure 22: Structure of polyphosphazene polymers bearing NLO-phores [125-127] and some other recent examples of nonlinear optical polymers [19,128].
Figure 22: Structure of polyphosphazene polymers bearing NLO-phores [125-127] and some other recent examples of nonline...
Table 15: Properties of polyphosphazenes 125–130 [125-127].
| Comp. | X |
λmax
[nm] |
d33
[pm/V] |
Tg
[°C] |
Δna
[10−2] |
|---|---|---|---|---|---|
| 125 | NO2 | 363 | – | 170 | 0.45 |
| 126 | Cl | 363 | 29 | 158 | – |
| 127 | F | 372 | 37 | 157 | 1.32 |
| 128 | I | 365 | 23 | 169 | – |
| 129 | Me | 354 | – | 165 | 1.01 |
| 130 | OMe | 375 | – | 174 | 1.12 |
aPhotoinduced birefringence measured at 633 nm (He–Ne laser).
Recently, Müllen et al. [19] as well as Koszykowska et al. [128] contributed to the field of nonlinear optical polymers (Figure 22). Müllen’s imidazole-functionalized poly(p-phenylene) 131 proved to be a promising hole-transporting emissive material, which can be oxidized to quinoid (Scheme 3) with an additional low-wavelength absorption at 655 nm (light-absorbing material for solar cells). In 2009, Koszykowska et al. demonstrated facile polymerization of 1-vinylimidazole and subsequent post-azo coupling at imidazole C2 to attach various donor- and acceptor-substituted pendants. Moreover, the poly(N-vinyl-2-(phenylazo)imidazoles 132–134 showed interesting switchable photochromic properties.
Typical representatives of benzimidazole CT chromophores 37–43, intended as reactive monomers for incorporation into the polymer backbone, were investigated by Carella, Centore et al. [62,63] and Cross et al. [65,66] and are shown in Figure 11. The chromophores 37–43 were attached to polyuretane and polyester by solution copolymerization with tolylene-2,4-diisocyanate (TDI), (2-methoxy)terephthaloyl dichloride [(M)TPC], and isophthaloyl dichloride (IPC) to afford nonlinear optical polymers 135–140. Polymers 141–143 were synthesized by AIBN-promoted polymerization of the methacrylate terminal functionality. Table 16 summarizes the structures, SHG coefficients d33, and stability parameters Tg and TD. It is obvious that the three cross-linked nonlinear optical polymers 141–143, prepared by radical polymerization, possess much higher nonlinearities than the two-component polymers 135–140. However, the achieved nonlinearities are still lower than those measured for previous polymeric systems, e.g., 119 and 126–128.
Table 16: Benzimidazole-derived chromophores embedded into a polymer 135–143 [62,63,65].
| Comp. |
Chromophore/
Structurea |
Monomer |
d33
[pm/V] |
Tg
[°C] |
TD
[°C] |
|---|---|---|---|---|---|
| 135 | 38 | TDI | 1.8 | 158 | 275 |
| 136 | 40 | TDI | 1.2 | 171 | 292 |
| 137 | 38 | TPC | 2.0 | 149 | 311 |
| 138 | 38 | MTPC | 2.2 | 146 | 327 |
| 139 | 40 | MTPC | 0.9 | 173 | 292 |
| 140 | 38 | IPC | 2.3 | 147 | 313 |
| 141 | 41 | 14.0 | 37 | 300 | |
| 142 |
R = CH2CH(CH3)OH
R1 = CH2CH2OC(O)NHCH2CH2OMA R2 = CH2CH3 |
13.0 | 128 | – | |
| 143 |
R = CH2CH(CH3)OH
R1 = CH2CH2OMA R2 = CH2CH3 |
16.5 | 151 | – | |
aSee Figure 11.
Chromophores 67 and 68 attached to polyamide and polyester backbones by copolymerization with m-phenylenediamide (MPD) and isophthaloyl dichloride (IPC) as well as bis(benzimidazolyl)pyrazines 70 (Figure 13; [75,77]) represent further examples of interesting polymers functionalized with benzimidazole-based CT chromophores. Unfortunately, no NLO properties were investigated. In 2002, Kudryavtsev et al. reported third-harmonic generation in copolymer films (polyamides) featuring a N-phenylbenzimidazole motif [129]. These materials exhibited their longest absorption maxima λmax at 490–515 and third-order NLO susceptibility χ(3)(3ω;ω,ω,ω) within the range of 1.5 to 2.6 × 10−13 esu (measured by THG at 1064 nm).
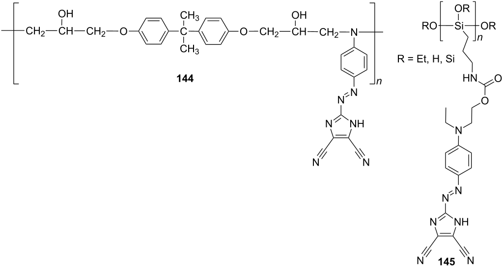
Variously 4,5-dicyanoimidazole-functionalized polymers were mainly investigated by Rasmussen et al. [29,81,86-88,96-99]. However, these systems were not intended as nonlinear optical polymers. Their properties were primarily studied by electrochemistry, absorption spectroscopy, NMR, FTIR spectroscopy, DSC, and TGA. Nevertheless, in 1998, Tripathy and co-workers reported the synthesis of epoxy-based nonlinear optical polymers 144 functionalized by post-azo coupling (Figure 23; [130]). The parent polymer backbone was synthesized from diglycidyl ether of bisphenol A and aniline and was further functionalized by diazotized amine 83 (Figure 15). This polymeric material possess λmax = 489 nm, Tg = 179 °C, TD = 224 °C, and a large d33 coefficient 24.3 pm/V (1064 nm). Moreover, the NLO properties of this poled polymer exhibited long-term stability at 80 °C. A structurally similar chromophore incorporated into a sol–gel hybrid film, 145, was investigated by Qian et al. (Figure 20; [105]). This thermally poled film showed λmax = 487 nm, TD = 272 °C, exceptionally high d33 = 42.0 pm/V, but no clear glass-transition behavior between 40–200 °C, because the rigid silica backbone hinders the motion of the molecule at higher temperature.
Figure 23: Epoxy- and silica-based polymers functionalized with 4,5-dicyanoimidazole unit [105,130].
Figure 23: Epoxy- and silica-based polymers functionalized with 4,5-dicyanoimidazole unit [105,130].
Conclusion
This review has attempted to show that 1,3-diazole, imidazole, may act as a robust and stable parent π-conjugated backbone for organic chromophores with intramolecular charge transfer. This synthetically readily accessible five-membered heteroaromate and its push–pull derivatives are currently of high interest for materials chemists due to their unique and tunable properties. In general, the imidazole-derived chromophores may possess two Y-shaped arrangements: One electron donor at C2 and two electron acceptors at C4/C5 or vice versa. Hence, according to the C4/C5 substitution, the entire imidazole moiety may behave as an electron acceptor or donor. Taking our series of structurally similar chromophores 21–26 and 88–93 as an example, which primarily differ in the orientation of the substituents along the imidazole ring, C4/C5 donor-substituted imidazole derivatives showed higher nonlinearities. This implies that imidazole is more polarizable in the direction C4/C5→C2. However, two imidazole units that are differently C4/C5 substituted and connected at C2 may be employed as acceptor or donor moieties. It was shown that this diimidazole arrangement (e.g., in 101–111) represents very powerful chromophore with high nonlinearities. Push–pull benzimidazoles feature more-planar π-conjugated systems due to the fused benzene ring. This fact further improves the polarizability of the entire D-π-A chromophore (e.g., compare chromophores 5–8 with 37–40). The structure and the length of the π-linker connecting both acceptor and donor moieties play a crucial role. It was shown that polarizable subunits, such as olefins and thiophenes, increase the chromophore (hyper)polarizability significantly. Thus, the most important structural factors affecting D–A interaction responsible for the linear and nonlinear optical properties are (i) the strength of the appended donors and acceptors; (ii) the length and electronic nature of the π-conjugated path; and (iii) chromophore overall planarity. These three features mainly dictate the chromophore properties and, therefore, are mainly used to finely tune the desired (non)linearities. Imidazole-derived chromophores have found also a wide range of practical applications in OLEDs, OPVCs, switches, memories, and polymers. A combination of all of these properties makes imidazole a very promising scaffold for materials chemistry.
References
-
Forrest, S. R.; Thompson, M. E., Eds. Organic Electronics and Optoelectronics. Chem. Rev. 2007, 107, 923–1386.
Return to citation in text: [1] -
Miller, R. D.; Chandross, E. A., Eds. Materials for Electronics. Chem. Rev. 2010, 110, 1–574.
Return to citation in text: [1] -
He, G. S.; Tan, L.-S.; Zheng, Q.; Prasad, P. N. Chem. Rev. 2008, 108, 1245–1330. doi:10.1021/cr050054x
Return to citation in text: [1] -
Kuzyk, M. G. J. Mater. Chem. 2009, 19, 7444–7465. doi:10.1039/b907364g
Return to citation in text: [1] -
Bureš, F.; Schweizer, W. B.; May, J. C.; Boudon, C.; Gisselbrecht, J.-P.; Gross, M.; Biaggio, I.; Diederich, F. Chem.–Eur. J. 2007, 13, 5378–5387. doi:10.1002/chem.200601735
Return to citation in text: [1] -
May, J. C.; Biaggio, I.; Bureš, F.; Diederich, F. Appl. Phys. Lett. 2007, 90, 251106. doi:10.1063/1.2750396
Return to citation in text: [1] -
Bureš, F.; Pytela, O.; Kivala, M.; Diederich, F. J. Phys. Org. Chem. 2011, 24, 274–281. doi:10.1002/poc.1744
Return to citation in text: [1] -
Debus, H. Justus Liebigs Ann. Chem. 1858, 107, 199–208. doi:10.1002/jlac.18581070209
Return to citation in text: [1] -
Radziszewski, B. Ber. Dtsch. Chem. Ges. 1882, 15, 2706–2708. doi:10.1002/cber.188201502245
Return to citation in text: [1] -
Grimmett, M. R. Imidazole and Benzimidazole Synthesis; Academic Press: San Diego, 1997.
Return to citation in text: [1] [2] -
Patel, A.; Bureš, F.; Ludwig, M.; Kulhánek, J.; Pytela, O.; Růžička, A. Heterocycles 2009, 78, 999–1013. doi:10.3987/COM-08-11609
Return to citation in text: [1] [2] [3] [4] -
Kulhánek, J.; Bureš, F.; Mikysek, T.; Ludvík, J.; Pytela, O. Dyes Pigm. 2011, 90, 48–55. doi:10.1016/j.dyepig.2010.11.004
Return to citation in text: [1] [2] [3] [4] [5] -
Wang, S.; Zhao, L.; Xu, Z.; Wu, C.; Cheng, S. Mater. Lett. 2002, 56, 1035–1038. doi:10.1016/S0167-577X(02)00671-7
Return to citation in text: [1] [2] [3] [4] [5] -
Bu, X. R.; Li, H.; Van Derveer, D.; Mintz, E. A. Tetrahedron Lett. 1996, 37, 7331–7334. doi:10.1016/0040-4039(96)01638-3
Return to citation in text: [1] [2] [3] -
Ren, J.; Wang, S.-M.; Wu, L.-F.; Xu, Z.-X.; Dong, B.-H. Dyes Pigm. 2008, 76, 310–314. doi:10.1016/j.dyepig.2006.09.003
Return to citation in text: [1] [2] [3] [4] [5] -
Wu, W.; Ye, C.; Wang, D. ARKIVOC 2003, ii, 59–69.
Return to citation in text: [1] [2] [3] [4] [5] [6] [7] [8] -
Wu, W.; Zhang, Z.; Zhang, X. J. Nonlinear Opt. Phys. Mater. 2005, 14, 61–65. doi:10.1142/S0218863505002499
Return to citation in text: [1] [2] [3] [4] [5] [6] [7] -
Yang, Z.; Qin, A.; Zhang, S.; Ye, C. Eur. Polym. J. 2004, 40, 1981–1986. doi:10.1016/j.eurpolymj.2004.04.012
Return to citation in text: [1] [2] [3] [4] [5] [6] [7] [8] -
Dierschke, F.; Müllen, K. Macromol. Chem. Phys. 2007, 208, 37–43. doi:10.1002/macp.200600412
Return to citation in text: [1] [2] [3] [4] [5] [6] [7] [8] [9] -
Kulhánek, J.; Bureš, F.; Pytela, O.; Mikysek, T.; Ludvík, J. Chem.–Asian J. 2011, 6, 1604–1612. doi:10.1002/asia.201100097
Return to citation in text: [1] [2] [3] [4] [5] -
Wright, J. B. Chem. Rev. 1951, 48, 397–541. doi:10.1021/cr60151a002
Return to citation in text: [1] [2] -
Preston, P. N. Chem. Rev. 1974, 74, 279–314. doi:10.1021/cr60289a001
Return to citation in text: [1] [2] -
Batista, R. M. F.; Costa, S. P. G.; Belsey, M.; Lodeiro, C.; Raposo, M. M. M. Tetrahedron 2008, 64, 9230–9238. doi:10.1016/j.tet.2008.07.043
Return to citation in text: [1] [2] [3] [4] [5] -
Batista, R. M. F.; Costa, S. P. G.; Belsey, M.; Raposo, M. M. M. Tetrahedron 2007, 63, 9842–9849. doi:10.1016/j.tet.2007.06.098
Return to citation in text: [1] [2] [3] [4] [5] [6] -
Carella, A.; Centore, R.; Fort, A.; Peluso, A.; Sirigu, A.; Tuzi, A. Eur. J. Org. Chem. 2004, 2620–2626. doi:10.1002/ejoc.200300786
Return to citation in text: [1] [2] [3] [4] [5] -
Yang, D.; Fokas, D.; Li, J.; Yu, L.; Baldino, C. M. Synthesis 2005, 47–56. doi:10.1055/s-2004-834926
Return to citation in text: [1] [2] -
Woodward, D. W. 4,5-Imidazoledicarbonitrile and Method of Preparation. U.S. Patent 2,534,331, Dec 19, 1950.
Return to citation in text: [1] [2] [3] -
O’Connell, J. F.; Parquette, J.; Yelle, W. E.; Wang, W.; Rapoport, H. Synthesis 1988, 767–771. doi:10.1055/s-1988-27702
Return to citation in text: [1] [2] -
Johnson, D. M.; Rasmussen, P. G. Macromolecules 2000, 33, 8597–8603. doi:10.1021/ma000779x
Return to citation in text: [1] [2] [3] [4] [5] -
Kulhánek, J.; Bureš, F.; Pytela, O.; Mikysek, T.; Ludvík, J.; Růžička, A. Dyes Pigm. 2010, 85, 57–65. doi:10.1016/j.dyepig.2009.10.004
Return to citation in text: [1] [2] [3] [4] [5] -
Moylan, C. R.; Miller, R. D.; Twieg, R. J.; Betterton, K. M.; Lee, V. Y.; Matray, T. J.; Nguyen, C. Chem. Mater. 1993, 5, 1499–1508. doi:10.1021/cm00034a021
Return to citation in text: [1] [2] [3] -
Miller, R. D.; Lee, V. Y.; Moylan, C. R. Chem. Mater. 1994, 6, 1023–1032. doi:10.1021/cm00043a026
Return to citation in text: [1] [2] -
Santos, J.; Mintz, E. A.; Zehnder, O.; Bosshard, C.; Bu, X. R.; Günter, P. Tetrahedron Lett. 2001, 42, 805–808. doi:10.1016/S0040-4039(00)02143-2
Return to citation in text: [1] [2] [3] [4] -
Bu, X. R.; VanDerveer, D.; Santos, J.; Hsu, F.-L.; Wang, J.; Bota, K. Anal. Sci. 2003, 19, 469–470. doi:10.2116/analsci.19.469
Return to citation in text: [1] [2] [3] -
Feng, K.; De Boni, L.; Misoguti, L.; Mendonça, C. R.; Meador, M.; Hsu, F.-L.; Bu, X. R. Chem. Commun. 2004, 1178–1180. doi:10.1039/b402019g
Return to citation in text: [1] [2] [3] -
Feng, K.; Hsu, F.-L.; VanDerveer, D.; Bota, K.; Bu, X. R. J. Photochem. Photobiol., A 2004, 165, 223–228. doi:10.1016/j.jphotochem.2004.03.021
Return to citation in text: [1] -
Fang, Z.; Wang, S.; Zhao, L.; Xu, Z.; Ren, J.; Wang, X.; Yang, Q. Mater. Lett. 2007, 61, 4803–4806. doi:10.1016/j.matlet.2007.03.038
Return to citation in text: [1] [2] [3] -
Yan, Y.-X.; Sun, Y.-H.; Tian, L.; Fan, H.-H.; Wang, H.-Z.; Wang, C.-K.; Tian, Y.-P.; Tao, X.-T.; Jiang, M.-H. Opt. Mater. 2007, 30, 423–426. doi:10.1016/j.optmat.2006.11.073
Return to citation in text: [1] [2] -
Yan, Y.-X.; Fan, H.-H.; Lam, C.-K.; Huang, H.; Wang, J.; Hu, S.; Wang, H.-Z.; Chen, X.-M. Bull. Chem. Soc. Jpn. 2006, 79, 1614–1619. doi:10.1246/bcsj.79.1614
Return to citation in text: [1] [2] -
Zhang, M.; Li, M.; Zhao, Q.; Li, F.; Zhang, D.; Zhang, J.; Yi, T.; Huang, C. Tetrahedron Lett. 2007, 48, 2329–2333. doi:10.1016/j.tetlet.2007.01.158
Return to citation in text: [1] [2] -
Velusamy, M.; Hsu, Y.-C.; Lin, J. T.; Chang, C.-W.; Hsu, C.-P. Chem.–Asian J. 2010, 5, 87–96. doi:10.1002/asia.200900244
Return to citation in text: [1] [2] -
Xu, Z.-X.; Wang, S.-M.; Zhao, L.; Zhang, S.-L.; Li, J.-B. Chin. J. Org. Chem. 2003, 23, 950–952.
Return to citation in text: [1] -
Zhao, L.; Wang, S.-M.; Xu, Z.-X.; Zhang, S.-L.; Wu, C.-H.; Cheng, S.-Y. Chem. Res. Chin. Univ. 2003, 19, 28–31.
Return to citation in text: [1] -
Chuang, W.-T.; Chen, B.-S.; Chen, K.-Y.; Hsieh, C.-C.; Chou, P.-T. Chem. Commun. 2009, 6982–6984. doi:10.1039/b908542d
Return to citation in text: [1] -
Jayabharathi, J.; Thanikachalam, V.; Srinivasan, N.; Saravanan, K. J. Fluoresc. 2011, 21, 595–606. doi:10.1007/s10895-010-0747-5
Return to citation in text: [1] -
Sekar, N. Colourage 2002, 49, 59–60.
Return to citation in text: [1] -
Wu, W.; Zhang, Z.; Zhang, X. J. Chem. Res. 2004, 617–619. doi:10.3184/0308234042430548
Return to citation in text: [1] [2] [3] -
Ra, C. S.; Kim, S. C.; Park, G. J. Mol. Struct.: THEOCHEM 2004, 677, 173–178. doi:10.1016/j.theochem.2004.01.025
Return to citation in text: [1] -
Jug, K.; Chiodo, S.; Calaminici, P.; Avramopoulos, A.; Papadopoulos, M. G. J. Phys. Chem. A 2003, 107, 4172–4183. doi:10.1021/jp022403m
Return to citation in text: [1] -
Li, S.; Yang, Z.; Wang, P.; Kang, H.; Wu, W.; Ye, C.; Yang, M.; Yang, X. Macromolecules 2002, 35, 4314–4316. doi:10.1021/ma011598d
Return to citation in text: [1] [2] [3] [4] [5] [6] -
Yang, Z.; Li, S.; Ye, C. J. Polym. Sci., Part A: Polym. Chem. 2002, 40, 4297–4301. doi:10.1002/pola.10505
Return to citation in text: [1] [2] [3] [4] [5] [6] -
Li, S.; Yang, Z.; Ye, C. Chin. J. Polym. Sci. 2004, 22, 453–457.
Return to citation in text: [1] [2] [3] [4] [5] [6] -
Li, S.; Kang, H.; Wu, W.; Ye, C. J. Appl. Polym. Sci. 2008, 110, 3758–3762. doi:10.1002/app.23405
Return to citation in text: [1] [2] [3] [4] [5] [6] -
Zhao, L.; Li, S. B.; Wen, G. A.; Peng, B.; Huang, W. Mater. Chem. Phys. 2006, 100, 460–463. doi:10.1016/j.matchemphys.2006.01.025
Return to citation in text: [1] [2] [3] [4] -
Fridman, N.; Kaftory, M.; Speiser, S. Sens. Actuators, B 2007, 126, 107–115. doi:10.1016/j.snb.2006.10.066
Return to citation in text: [1] [2] [3] [4] -
Pina, J.; Seixas de Melo, J. S.; Batista, R. M. F.; Costa, S. P. G.; Raposo, M. M. M. J. Phys. Chem. B 2010, 114, 4964–4972. doi:10.1021/jp9104954
Return to citation in text: [1] [2] [3] [4] -
Li, Z.; Lin, Y.; Xia, J.-L.; Zhang, H.; Fan, F.; Zeng, Q.; Feng, D.; Yin, J.; Liu, S. H. Dyes Pigm. 2011, 90, 245–252. doi:10.1016/j.dyepig.2010.09.015
Return to citation in text: [1] [2] [3] [4] -
Yuan, J.; Li, Z.; Hu, M.; Li, S.; Huang, S.; Yin, J.; Liu, S. H. Photochem. Photobiol. Sci. 2011, 10, 587–591. doi:10.1039/c0pp00337a
Return to citation in text: [1] [2] [3] [4] -
Sakaino, Y.; Kakisawa, H.; Kusumi, T.; Maeda, K. J. Org. Chem. 1979, 44, 1241–1244. doi:10.1021/jo01322a010
Return to citation in text: [1] -
Gompper, R.; Mehrer, M.; Polborn, K. Tetrahedron Lett. 1993, 34, 6379–6382. doi:10.1016/0040-4039(93)85050-7
Return to citation in text: [1] -
Wang, P.; Zhu, P.; Wu, W.; Kang, H.; Ye, C. Phys. Chem. Chem. Phys. 1999, 1, 3519–3525. doi:10.1039/a903535d
Return to citation in text: [1] [2] -
Carella, A.; Casalboni, M.; Centore, R.; Fusco, S.; Noce, C.; Quatela, A.; Peluso, A.; Sirigu, A. Opt. Mater. 2007, 30, 473–477. doi:10.1016/j.optmat.2006.12.006
Return to citation in text: [1] [2] [3] [4] [5] -
Carella, A.; Centore, R.; Mager, L.; Barsella, A.; Fort, A. Org. Electron. 2007, 8, 57–62. doi:10.1016/j.orgel.2006.10.008
Return to citation in text: [1] [2] [3] [4] [5] -
Yu, J.; Cui, Y.; Gao, J.; Wang, Z.; Qian, G. J. Phys. Chem. B 2009, 113, 14877–14883. doi:10.1021/jp9048549
Return to citation in text: [1] [2] [3] -
Cross, E. M.; White, K. M.; Moshrefzadeh, R. S.; Francis, C. V. Macromolecules 1995, 28, 2526–2532. doi:10.1021/ma00111a055
Return to citation in text: [1] [2] [3] [4] -
Cross, E. M.; Francis, C. V. Benzimidazole-Derivatized Azo Compounds and Polymers Derived Therefrom for Nonlinear Optics. U.S. Patent 5,321,084, June 14, 1994.
Return to citation in text: [1] [2] [3] -
Batista, R. M. F.; Costa, S. P. G.; Belsley, M.; Raposo, M. M. M. Dyes Pigm. 2009, 80, 329–336. doi:10.1016/j.dyepig.2008.08.001
Return to citation in text: [1] [2] [3] -
Sun, Y.-F.; Huang, W.; Lu, C.-G.; Cui, Y.-P. Dyes Pigm. 2009, 81, 10–17. doi:10.1016/j.dyepig.2008.08.003
Return to citation in text: [1] [2] -
Guo, J.-G.; Cui, Y.-M.; Lin, H.-X.; Xie, X.-Z.; Chen, H.-F. J. Photochem. Photobiol., A 2011, 219, 42–49. doi:10.1016/j.jphotochem.2011.01.014
Return to citation in text: [1] [2] -
Eseola, A. O.; Li, W.; Sun, W.-H.; Zhang, M.; Xiao, L.; Woods, J. A. O. Dyes Pigm. 2011, 88, 262–273. doi:10.1016/j.dyepig.2010.07.005
Return to citation in text: [1] [2] -
Wu, J.; Liu, S.-X.; Neels, A.; Le Derf, F.; Sallé, M.; Decurtins, S. Tetrahedron 2007, 63, 11282–11286. doi:10.1016/j.tet.2007.08.091
Return to citation in text: [1] [2] -
Sanguinet, L.; Pozzo, J.-L.; Guillaume, M.; Champagne, B.; Castet, F.; Ducasse, L.; Maury, E.; Soulié, J.; Mançois, F.; Adamietz, F.; Rodriguez, V. J. Phys. Chem. B 2006, 110, 10672–10682. doi:10.1021/jp060825g
Return to citation in text: [1] [2] -
Rodembusch, F. S.; Buckup, T.; Segala, M.; Tavares, L.; Correia, R. R. B.; Stefani, V. Chem. Phys. 2004, 305, 115–121. doi:10.1016/j.chemphys.2004.06.046
Return to citation in text: [1] [2] [3] -
Douhal, A.; Armat-Guerri, F.; Lillo, M. P.; Acuña, A. U. J. Photochem. Photobiol., A 1994, 78, 127–138. doi:10.1016/1010-6030(93)03724-U
Return to citation in text: [1] [2] -
Barashkov, N. N.; Novikova, T. S.; Guerrero, D. J.; Ferraris, J. P. Synth. Met. 1995, 75, 241–248. doi:10.1016/0379-6779(96)80014-2
Return to citation in text: [1] [2] [3] -
Zhang, X.-H.; Kim, S.-H.; Lee, I.-S.; Gao, C.-J.; Yang, S.-I.; Ahn, K.-H. Bull. Korean Chem. Soc. 2007, 28, 1389–1395. doi:10.5012/bkcs.2007.28.8.1389
Return to citation in text: [1] [2] -
Saito, R.; Matsumura, Y.; Suzuki, S.; Okazaki, N. Tetrahedron 2010, 66, 8273–8279. doi:10.1016/j.tet.2010.08.036
Return to citation in text: [1] [2] [3] -
Luo, Z.; Shi, H.; Zhu, H.; Song, G.; Liu, Y. Dyes Pigm. 2012, 92, 596–602. doi:10.1016/j.dyepig.2011.06.030
Return to citation in text: [1] [2] -
Abe, J.; Shirai, Y.; Nemoto, N.; Nagase, Y. J. Phys. Chem. B 1997, 101, 1910–1915. doi:10.1021/jp962157c
Return to citation in text: [1] [2] -
Muhammad, S.; Xu, H.; Janjua, M. R. S. A.; Su, Z.; Nadeem, M. Phys. Chem. Chem. Phys. 2010, 12, 4791–4799. doi:10.1039/b924241d
Return to citation in text: [1] -
Densmore, C. G.; Rasmussen, P. G. Macromolecules 2004, 37, 5900–5910. doi:10.1021/ma035920r
Return to citation in text: [1] [2] [3] -
Apen, P. G.; Rasmussen, P. G. Heterocycles 1989, 29, 1325–1329. doi:10.3987/COM-89-4980
Return to citation in text: [1] [2] -
Subrayan, R. P.; Kampf, J. W.; Rasmussen, P. G. J. Org. Chem. 1994, 59, 4341–4345. doi:10.1021/jo00094a060
Return to citation in text: [1] [2] -
Subrayan, R. P.; Rasmussen, P. G. Tetrahedron 1995, 51, 6167–6178. doi:10.1016/0040-4020(95)00284-F
Return to citation in text: [1] [2] -
Subrayan, R. P.; Rasmussen, P. G. Tetrahedron 1999, 55, 353–358. doi:10.1016/S0040-4020(98)01058-8
Return to citation in text: [1] [2] -
Jang, T.; Rasmussen, P. G. J. Polym. Sci., Part A: Polym. Chem. 1998, 36, 2619–2629. doi:10.1002/(SICI)1099-0518(199810)36:14<2619::AID-POLA22>3.0.CO;2-K
Return to citation in text: [1] [2] [3] -
Apen, P. G.; Rasmussen, P. G. J. Polym. Sci., Part A: Polym. Chem. 1992, 30, 203–210. doi:10.1002/pola.1992.080300204
Return to citation in text: [1] [2] [3] -
Jang, T.; Rasmussen, P. G. J. Polym. Sci., Part A: Polym. Chem. 2000, 38, 3828–3838. doi:10.1002/1099-0518(20001015)38:20<3828::AID-POLA140>3.0.CO;2-8
Return to citation in text: [1] [2] [3] -
Rasmussen, P. G.; Hough, R. L.; Anderson, J. E.; Bailey, O. H.; Bayon, J. C. J. Am. Chem. Soc. 1982, 104, 6155–6156. doi:10.1021/ja00386a071
Return to citation in text: [1] [2] -
Allan, D. S.; Bergstrom, D. F.; Rasmussen, P. G. Synth. Met. 1988, 25, 139–155. doi:10.1016/0379-6779(88)90349-9
Return to citation in text: [1] [2] -
Apen, P. G.; Rasmussen, P. G. J. Am. Chem. Soc. 1991, 113, 6178–6187. doi:10.1021/ja00016a038
Return to citation in text: [1] [2] -
Coad, E. C.; Liu, H.; Rasmussen, P. G. Tetrahedron 1999, 55, 2811–2826. doi:10.1016/S0040-4020(99)00060-5
Return to citation in text: [1] [2] -
Coad, E. C.; Apen, P. G.; Rasmussen, P. G. J. Am. Chem. Soc. 1994, 116, 391–392. doi:10.1021/ja00080a053
Return to citation in text: [1] [2] -
Coad, E. C.; Kampf, J.; Rasmussen, P. G. J. Org. Chem. 1996, 61, 6666–6672. doi:10.1021/jo960828x
Return to citation in text: [1] [2] -
Rasmussen, P. G.; Fabre, T. S.; Beck, P. A.; Eissa, M. J.; Escobedo, J.; Strongin, R. M. Tetrahedron Lett. 2001, 42, 6823–6825. doi:10.1016/S0040-4039(01)01430-7
Return to citation in text: [1] -
Allan, D. S.; Thurber, E. L.; Rasmussen, P. G. J. Polym. Sci., Part A: Polym. Chem. 1990, 28, 2475–2483. doi:10.1002/pola.1990.080280920
Return to citation in text: [1] [2] -
Thurber, E. L.; Rasmussen, P. G. J. Polym. Sci., Part A: Polym. Chem. 1993, 31, 351–364. doi:10.1002/pola.1993.080310207
Return to citation in text: [1] [2] -
Kim, Y.-K.; Rasmussen, P. G. J. Polym. Sci., Part A: Polym. Chem. 1993, 31, 2583–2594. doi:10.1002/pola.1993.080311019
Return to citation in text: [1] [2] -
Bouck, K. J.; Rasmussen, P. G. Macromolecules 1993, 26, 2077–2084. doi:10.1021/ma00060a041
Return to citation in text: [1] [2] -
Donald, D. S.; Webster, O. W. Adv. Heterocycl. Chem. 1987, 41, 1–40. doi:10.1016/S0065-2725(08)60159-2
Return to citation in text: [1] -
Heckmeier, M.; Farrand, L. D. 4,5-Dicyanoimidazole Derivatives and Their Use in Liquid Crystal Media and Liquid Crystal Devices. GB Patent Application GB 2 396 154 A, June 16, 2004.
Return to citation in text: [1] -
Hardgrove, G. L.; Jons, S. D. Acta Crystallogr. 1991, C47, 337–339.
Return to citation in text: [1] -
Carella, A.; Centore, R.; Sirigu, A.; Tuzi, A.; Quatela, A.; Schutzmann, S.; Casalboni, M. Macromol. Chem. Phys. 2004, 205, 1948–1954. doi:10.1002/macp.200400129
Return to citation in text: [1] [2] [3] -
Carella, A.; Centore, R.; Riccio, P.; Sirigu, A.; Quatela, A.; Palazzesi, C.; Casalboni, M. Macromol. Chem. Phys. 2005, 206, 1399–1404. doi:10.1002/macp.200500112
Return to citation in text: [1] [2] [3] -
Cui, Y.; Qian, G.; Chen, L.; Wang, Z.; Wang, M. Macromol. Rapid Commun. 2007, 28, 2019–2023. doi:10.1002/marc.200700375
Return to citation in text: [1] [2] [3] [4] -
Yu, J.; Qiu, J.; Cui, Y.; Hu, J.; Liu, L.; Xu, L.; Qian, G. Mater. Lett. 2009, 63, 2594–2596. doi:10.1016/j.matlet.2009.09.019
Return to citation in text: [1] [2] -
Kulhánek, J.; Bureš, F.; Ludwig, M. Beilstein J. Org. Chem. 2009, 5, No. 11. doi:10.3762/bjoc.5.11
Return to citation in text: [1] -
Kulhánek, J.; Bureš, F.; Wojciechowski, A.; Makowska-Janusik, M.; Gondek, E.; Kityk, I. V. J. Phys. Chem. A 2010, 114, 9440–9446. doi:10.1021/jp1047634
Return to citation in text: [1] [2] -
Plaquet, A.; Champagne, B.; Kulhánek, J.; Bureš, F.; Bogdan, E.; Castet, F.; Ducasse, L.; Rodriguez, V. ChemPhysChem 2011, 12, 3245–3252. doi:10.1002/cphc.201100299
Return to citation in text: [1] [2] [3] [4] -
Nepraš, M.; Almonasy, N.; Bureš, F.; Kulhánek, J.; Dvořák, M.; Michl, M. Dyes Pigm. 2011, 91, 466–473. doi:10.1016/j.dyepig.2011.03.025
Return to citation in text: [1] [2] -
Danko, M.; Hrdlovič, P.; Kulhánek, J.; Bureš, F. J. Fluoresc. 2011, 21, 1779–1787. doi:10.1007/s10895-011-0872-9
Return to citation in text: [1] -
Bureš, F.; Kulhánek, J.; Mikysek, T.; Ludvík, J.; Lokaj, J. Tetrahedron Lett. 2010, 51, 2055–2058. doi:10.1016/j.tetlet.2010.02.067
Return to citation in text: [1] [2] [3] -
Lokaj, J.; Moncol, J.; Bureš, F.; Kulhánek, J. J. Chem. Crystallogr. 2011, 41, 834–837. doi:10.1007/s10870-011-0007-9
Return to citation in text: [1] [2] -
Ma, L. P.; Liu, J.; Yang, Y. Appl. Phys. Lett. 2002, 80, 2997–2999. doi:10.1063/1.1473234
Return to citation in text: [1] -
Shin, R. Y. C.; Kietzke, T.; Sudhakar, S.; Dodabalapur, A.; Chen, Z.-K.; Sellinger, A. Chem. Mater. 2007, 19, 1892–1894. doi:10.1021/cm070144d
Return to citation in text: [1] [2] -
Shin, R. Y. C.; Sonar, P.; Siew, P. S.; Chen, Z.-K.; Sellinger, A. J. Org. Chem. 2009, 74, 3293–3298. doi:10.1021/jo802720m
Return to citation in text: [1] [2] -
Kietzke, T.; Shin, R. Y. C.; Egbe, D. A. M.; Chen, Z.-K.; Sellinger, A. Macromolecules 2007, 40, 4424–4428. doi:10.1021/ma0706273
Return to citation in text: [1] -
Ooi, Z. E.; Tam, T. L.; Shin, R. Y. C.; Chen, Z.-K.; Kietzke, T.; Sellinger, A.; Baumgarten, M.; Mullen, K.; deMello, J. C. J. Mater. Chem. 2008, 18, 4619–4622. doi:10.1039/b813786m
Return to citation in text: [1] -
Zeng, W.; Chong, K. S. L.; Low, H. Y.; Williams, E. L.; Tam, T. L.; Sellinger, A. Thin Solid Films 2009, 517, 6833–6836. doi:10.1016/j.tsf.2009.05.024
Return to citation in text: [1] -
Schubert, M.; Yin, C.; Castellani, M.; Bange, S.; Tam, T. L.; Sellinger, A.; Hörhold, H.-H.; Kietzke, T.; Neher, D. J. Chem. Phys. 2009, 130, 094703. doi:10.1063/1.3077007
Return to citation in text: [1] -
Lindsay, G. A. Second-Order Nonlinear Optical Polymers. In Polymers for Second-Order Nonlinear Optics; Lindsay, G. A.; Singer, K. D., Eds.; American Chemical Society: Washington, DC, 1995; pp 1–19. doi:10.1021/bk-1995-0601
Return to citation in text: [1] -
Wu, W.; Wang, D.; Ye, C. Polym. Bull. 1998, 41, 401–408. doi:10.1007/s002890050380
Return to citation in text: [1] [2] [3] [4] -
Zhu, P.; Wang, P.; Wu, W.; Ye, C. J. Nonlinear Opt. Phys. Mater. 1999, 8, 461–468. doi:10.1142/S0218863599000333
Return to citation in text: [1] [2] [3] [4] -
Kang, H.; Wu, W.; Wu, P.; Ye, C. Chin. Sci. Bull. 2001, 46, 827–830. doi:10.1007/BF02900432
Return to citation in text: [1] [2] [3] [4] -
Pan, Y.; Tang, X.; Zhu, L.; Huang, Y. Eur. Polym. J. 2007, 43, 1091–1095. doi:10.1016/j.eurpolymj.2006.12.010
Return to citation in text: [1] [2] [3] -
Pan, Y.; Tang, X. J. Appl. Polym. Sci. 2008, 108, 2802–2807. doi:10.1002/app.27579
Return to citation in text: [1] [2] [3] -
Pan, Y.; Tang, X. Synth. Met. 2009, 159, 1796–1799. doi:10.1016/j.synthmet.2009.05.027
Return to citation in text: [1] [2] [3] -
Koszykowska, M.; Tokarek, M.; Kucharski, S. Mater. Sci. Poland 2009, 27, 699–708.
Return to citation in text: [1] [2] -
Lebedeva, G. K.; Loretsyan, N. L.; Ivanova, V. N.; Romashkova, K. A.; Lukoshkin, V. A.; Kudryavtsev, V. V. Phys. Solid State 2002, 44, 395–398. doi:10.1134/1.1451035
Return to citation in text: [1] -
Wang, X.; Yang, K.; Kumar, J.; Tripathy, S. K.; Chittibabu, K. G.; Li, L.; Lindsay, G. Macromolecules 1998, 31, 4126–4134. doi:10.1021/ma971615s
Return to citation in text: [1] [2]
| 75. | Barashkov, N. N.; Novikova, T. S.; Guerrero, D. J.; Ferraris, J. P. Synth. Met. 1995, 75, 241–248. doi:10.1016/0379-6779(96)80014-2 |
| 76. | Zhang, X.-H.; Kim, S.-H.; Lee, I.-S.; Gao, C.-J.; Yang, S.-I.; Ahn, K.-H. Bull. Korean Chem. Soc. 2007, 28, 1389–1395. doi:10.5012/bkcs.2007.28.8.1389 |
| 73. | Rodembusch, F. S.; Buckup, T.; Segala, M.; Tavares, L.; Correia, R. R. B.; Stefani, V. Chem. Phys. 2004, 305, 115–121. doi:10.1016/j.chemphys.2004.06.046 |
| 74. | Douhal, A.; Armat-Guerri, F.; Lillo, M. P.; Acuña, A. U. J. Photochem. Photobiol., A 1994, 78, 127–138. doi:10.1016/1010-6030(93)03724-U |
| 73. | Rodembusch, F. S.; Buckup, T.; Segala, M.; Tavares, L.; Correia, R. R. B.; Stefani, V. Chem. Phys. 2004, 305, 115–121. doi:10.1016/j.chemphys.2004.06.046 |
| 72. | Sanguinet, L.; Pozzo, J.-L.; Guillaume, M.; Champagne, B.; Castet, F.; Ducasse, L.; Maury, E.; Soulié, J.; Mançois, F.; Adamietz, F.; Rodriguez, V. J. Phys. Chem. B 2006, 110, 10672–10682. doi:10.1021/jp060825g |
| 73. | Rodembusch, F. S.; Buckup, T.; Segala, M.; Tavares, L.; Correia, R. R. B.; Stefani, V. Chem. Phys. 2004, 305, 115–121. doi:10.1016/j.chemphys.2004.06.046 |
| 74. | Douhal, A.; Armat-Guerri, F.; Lillo, M. P.; Acuña, A. U. J. Photochem. Photobiol., A 1994, 78, 127–138. doi:10.1016/1010-6030(93)03724-U |
| 80. | Muhammad, S.; Xu, H.; Janjua, M. R. S. A.; Su, Z.; Nadeem, M. Phys. Chem. Chem. Phys. 2010, 12, 4791–4799. doi:10.1039/b924241d |
| 75. | Barashkov, N. N.; Novikova, T. S.; Guerrero, D. J.; Ferraris, J. P. Synth. Met. 1995, 75, 241–248. doi:10.1016/0379-6779(96)80014-2 |
| 76. | Zhang, X.-H.; Kim, S.-H.; Lee, I.-S.; Gao, C.-J.; Yang, S.-I.; Ahn, K.-H. Bull. Korean Chem. Soc. 2007, 28, 1389–1395. doi:10.5012/bkcs.2007.28.8.1389 |
| 77. | Saito, R.; Matsumura, Y.; Suzuki, S.; Okazaki, N. Tetrahedron 2010, 66, 8273–8279. doi:10.1016/j.tet.2010.08.036 |
| 78. | Luo, Z.; Shi, H.; Zhu, H.; Song, G.; Liu, Y. Dyes Pigm. 2012, 92, 596–602. doi:10.1016/j.dyepig.2011.06.030 |
| 79. | Abe, J.; Shirai, Y.; Nemoto, N.; Nagase, Y. J. Phys. Chem. B 1997, 101, 1910–1915. doi:10.1021/jp962157c |
| 79. | Abe, J.; Shirai, Y.; Nemoto, N.; Nagase, Y. J. Phys. Chem. B 1997, 101, 1910–1915. doi:10.1021/jp962157c |
| 77. | Saito, R.; Matsumura, Y.; Suzuki, S.; Okazaki, N. Tetrahedron 2010, 66, 8273–8279. doi:10.1016/j.tet.2010.08.036 |
| 78. | Luo, Z.; Shi, H.; Zhu, H.; Song, G.; Liu, Y. Dyes Pigm. 2012, 92, 596–602. doi:10.1016/j.dyepig.2011.06.030 |
| 88. | Jang, T.; Rasmussen, P. G. J. Polym. Sci., Part A: Polym. Chem. 2000, 38, 3828–3838. doi:10.1002/1099-0518(20001015)38:20<3828::AID-POLA140>3.0.CO;2-8 |
| 112. | Bureš, F.; Kulhánek, J.; Mikysek, T.; Ludvík, J.; Lokaj, J. Tetrahedron Lett. 2010, 51, 2055–2058. doi:10.1016/j.tetlet.2010.02.067 |
| 89. | Rasmussen, P. G.; Hough, R. L.; Anderson, J. E.; Bailey, O. H.; Bayon, J. C. J. Am. Chem. Soc. 1982, 104, 6155–6156. doi:10.1021/ja00386a071 |
| 90. | Allan, D. S.; Bergstrom, D. F.; Rasmussen, P. G. Synth. Met. 1988, 25, 139–155. doi:10.1016/0379-6779(88)90349-9 |
| 91. | Apen, P. G.; Rasmussen, P. G. J. Am. Chem. Soc. 1991, 113, 6178–6187. doi:10.1021/ja00016a038 |
| 92. | Coad, E. C.; Liu, H.; Rasmussen, P. G. Tetrahedron 1999, 55, 2811–2826. doi:10.1016/S0040-4020(99)00060-5 |
| 110. | Nepraš, M.; Almonasy, N.; Bureš, F.; Kulhánek, J.; Dvořák, M.; Michl, M. Dyes Pigm. 2011, 91, 466–473. doi:10.1016/j.dyepig.2011.03.025 |
| 111. | Danko, M.; Hrdlovič, P.; Kulhánek, J.; Bureš, F. J. Fluoresc. 2011, 21, 1779–1787. doi:10.1007/s10895-011-0872-9 |
| 29. | Johnson, D. M.; Rasmussen, P. G. Macromolecules 2000, 33, 8597–8603. doi:10.1021/ma000779x |
| 81. | Densmore, C. G.; Rasmussen, P. G. Macromolecules 2004, 37, 5900–5910. doi:10.1021/ma035920r |
| 112. | Bureš, F.; Kulhánek, J.; Mikysek, T.; Ludvík, J.; Lokaj, J. Tetrahedron Lett. 2010, 51, 2055–2058. doi:10.1016/j.tetlet.2010.02.067 |
| 113. | Lokaj, J.; Moncol, J.; Bureš, F.; Kulhánek, J. J. Chem. Crystallogr. 2011, 41, 834–837. doi:10.1007/s10870-011-0007-9 |
| 82. | Apen, P. G.; Rasmussen, P. G. Heterocycles 1989, 29, 1325–1329. doi:10.3987/COM-89-4980 |
| 83. | Subrayan, R. P.; Kampf, J. W.; Rasmussen, P. G. J. Org. Chem. 1994, 59, 4341–4345. doi:10.1021/jo00094a060 |
| 84. | Subrayan, R. P.; Rasmussen, P. G. Tetrahedron 1995, 51, 6167–6178. doi:10.1016/0040-4020(95)00284-F |
| 85. | Subrayan, R. P.; Rasmussen, P. G. Tetrahedron 1999, 55, 353–358. doi:10.1016/S0040-4020(98)01058-8 |
| 86. | Jang, T.; Rasmussen, P. G. J. Polym. Sci., Part A: Polym. Chem. 1998, 36, 2619–2629. doi:10.1002/(SICI)1099-0518(199810)36:14<2619::AID-POLA22>3.0.CO;2-K |
| 87. | Apen, P. G.; Rasmussen, P. G. J. Polym. Sci., Part A: Polym. Chem. 1992, 30, 203–210. doi:10.1002/pola.1992.080300204 |
| 113. | Lokaj, J.; Moncol, J.; Bureš, F.; Kulhánek, J. J. Chem. Crystallogr. 2011, 41, 834–837. doi:10.1007/s10870-011-0007-9 |
| 24. | Batista, R. M. F.; Costa, S. P. G.; Belsey, M.; Raposo, M. M. M. Tetrahedron 2007, 63, 9842–9849. doi:10.1016/j.tet.2007.06.098 |
| 109. | Plaquet, A.; Champagne, B.; Kulhánek, J.; Bureš, F.; Bogdan, E.; Castet, F.; Ducasse, L.; Rodriguez, V. ChemPhysChem 2011, 12, 3245–3252. doi:10.1002/cphc.201100299 |
| 27. | Woodward, D. W. 4,5-Imidazoledicarbonitrile and Method of Preparation. U.S. Patent 2,534,331, Dec 19, 1950. |
| 30. | Kulhánek, J.; Bureš, F.; Pytela, O.; Mikysek, T.; Ludvík, J.; Růžička, A. Dyes Pigm. 2010, 85, 57–65. doi:10.1016/j.dyepig.2009.10.004 |
| 108. | Kulhánek, J.; Bureš, F.; Wojciechowski, A.; Makowska-Janusik, M.; Gondek, E.; Kityk, I. V. J. Phys. Chem. A 2010, 114, 9440–9446. doi:10.1021/jp1047634 |
| 109. | Plaquet, A.; Champagne, B.; Kulhánek, J.; Bureš, F.; Bogdan, E.; Castet, F.; Ducasse, L.; Rodriguez, V. ChemPhysChem 2011, 12, 3245–3252. doi:10.1002/cphc.201100299 |
| 110. | Nepraš, M.; Almonasy, N.; Bureš, F.; Kulhánek, J.; Dvořák, M.; Michl, M. Dyes Pigm. 2011, 91, 466–473. doi:10.1016/j.dyepig.2011.03.025 |
| 109. | Plaquet, A.; Champagne, B.; Kulhánek, J.; Bureš, F.; Bogdan, E.; Castet, F.; Ducasse, L.; Rodriguez, V. ChemPhysChem 2011, 12, 3245–3252. doi:10.1002/cphc.201100299 |
| 109. | Plaquet, A.; Champagne, B.; Kulhánek, J.; Bureš, F.; Bogdan, E.; Castet, F.; Ducasse, L.; Rodriguez, V. ChemPhysChem 2011, 12, 3245–3252. doi:10.1002/cphc.201100299 |
| 108. | Kulhánek, J.; Bureš, F.; Wojciechowski, A.; Makowska-Janusik, M.; Gondek, E.; Kityk, I. V. J. Phys. Chem. A 2010, 114, 9440–9446. doi:10.1021/jp1047634 |
| 96. | Allan, D. S.; Thurber, E. L.; Rasmussen, P. G. J. Polym. Sci., Part A: Polym. Chem. 1990, 28, 2475–2483. doi:10.1002/pola.1990.080280920 |
| 97. | Thurber, E. L.; Rasmussen, P. G. J. Polym. Sci., Part A: Polym. Chem. 1993, 31, 351–364. doi:10.1002/pola.1993.080310207 |
| 98. | Kim, Y.-K.; Rasmussen, P. G. J. Polym. Sci., Part A: Polym. Chem. 1993, 31, 2583–2594. doi:10.1002/pola.1993.080311019 |
| 99. | Bouck, K. J.; Rasmussen, P. G. Macromolecules 1993, 26, 2077–2084. doi:10.1021/ma00060a041 |
| 29. | Johnson, D. M.; Rasmussen, P. G. Macromolecules 2000, 33, 8597–8603. doi:10.1021/ma000779x |
| 81. | Densmore, C. G.; Rasmussen, P. G. Macromolecules 2004, 37, 5900–5910. doi:10.1021/ma035920r |
| 82. | Apen, P. G.; Rasmussen, P. G. Heterocycles 1989, 29, 1325–1329. doi:10.3987/COM-89-4980 |
| 83. | Subrayan, R. P.; Kampf, J. W.; Rasmussen, P. G. J. Org. Chem. 1994, 59, 4341–4345. doi:10.1021/jo00094a060 |
| 84. | Subrayan, R. P.; Rasmussen, P. G. Tetrahedron 1995, 51, 6167–6178. doi:10.1016/0040-4020(95)00284-F |
| 85. | Subrayan, R. P.; Rasmussen, P. G. Tetrahedron 1999, 55, 353–358. doi:10.1016/S0040-4020(98)01058-8 |
| 86. | Jang, T.; Rasmussen, P. G. J. Polym. Sci., Part A: Polym. Chem. 1998, 36, 2619–2629. doi:10.1002/(SICI)1099-0518(199810)36:14<2619::AID-POLA22>3.0.CO;2-K |
| 87. | Apen, P. G.; Rasmussen, P. G. J. Polym. Sci., Part A: Polym. Chem. 1992, 30, 203–210. doi:10.1002/pola.1992.080300204 |
| 88. | Jang, T.; Rasmussen, P. G. J. Polym. Sci., Part A: Polym. Chem. 2000, 38, 3828–3838. doi:10.1002/1099-0518(20001015)38:20<3828::AID-POLA140>3.0.CO;2-8 |
| 89. | Rasmussen, P. G.; Hough, R. L.; Anderson, J. E.; Bailey, O. H.; Bayon, J. C. J. Am. Chem. Soc. 1982, 104, 6155–6156. doi:10.1021/ja00386a071 |
| 90. | Allan, D. S.; Bergstrom, D. F.; Rasmussen, P. G. Synth. Met. 1988, 25, 139–155. doi:10.1016/0379-6779(88)90349-9 |
| 91. | Apen, P. G.; Rasmussen, P. G. J. Am. Chem. Soc. 1991, 113, 6178–6187. doi:10.1021/ja00016a038 |
| 92. | Coad, E. C.; Liu, H.; Rasmussen, P. G. Tetrahedron 1999, 55, 2811–2826. doi:10.1016/S0040-4020(99)00060-5 |
| 93. | Coad, E. C.; Apen, P. G.; Rasmussen, P. G. J. Am. Chem. Soc. 1994, 116, 391–392. doi:10.1021/ja00080a053 |
| 94. | Coad, E. C.; Kampf, J.; Rasmussen, P. G. J. Org. Chem. 1996, 61, 6666–6672. doi:10.1021/jo960828x |
| 93. | Coad, E. C.; Apen, P. G.; Rasmussen, P. G. J. Am. Chem. Soc. 1994, 116, 391–392. doi:10.1021/ja00080a053 |
| 94. | Coad, E. C.; Kampf, J.; Rasmussen, P. G. J. Org. Chem. 1996, 61, 6666–6672. doi:10.1021/jo960828x |
| 95. | Rasmussen, P. G.; Fabre, T. S.; Beck, P. A.; Eissa, M. J.; Escobedo, J.; Strongin, R. M. Tetrahedron Lett. 2001, 42, 6823–6825. doi:10.1016/S0040-4039(01)01430-7 |
| 112. | Bureš, F.; Kulhánek, J.; Mikysek, T.; Ludvík, J.; Lokaj, J. Tetrahedron Lett. 2010, 51, 2055–2058. doi:10.1016/j.tetlet.2010.02.067 |
| 55. | Fridman, N.; Kaftory, M.; Speiser, S. Sens. Actuators, B 2007, 126, 107–115. doi:10.1016/j.snb.2006.10.066 |
| 115. | Shin, R. Y. C.; Kietzke, T.; Sudhakar, S.; Dodabalapur, A.; Chen, Z.-K.; Sellinger, A. Chem. Mater. 2007, 19, 1892–1894. doi:10.1021/cm070144d |
| 116. | Shin, R. Y. C.; Sonar, P.; Siew, P. S.; Chen, Z.-K.; Sellinger, A. J. Org. Chem. 2009, 74, 3293–3298. doi:10.1021/jo802720m |
| 56. | Pina, J.; Seixas de Melo, J. S.; Batista, R. M. F.; Costa, S. P. G.; Raposo, M. M. M. J. Phys. Chem. B 2010, 114, 4964–4972. doi:10.1021/jp9104954 |
| 117. | Kietzke, T.; Shin, R. Y. C.; Egbe, D. A. M.; Chen, Z.-K.; Sellinger, A. Macromolecules 2007, 40, 4424–4428. doi:10.1021/ma0706273 |
| 118. | Ooi, Z. E.; Tam, T. L.; Shin, R. Y. C.; Chen, Z.-K.; Kietzke, T.; Sellinger, A.; Baumgarten, M.; Mullen, K.; deMello, J. C. J. Mater. Chem. 2008, 18, 4619–4622. doi:10.1039/b813786m |
| 119. | Zeng, W.; Chong, K. S. L.; Low, H. Y.; Williams, E. L.; Tam, T. L.; Sellinger, A. Thin Solid Films 2009, 517, 6833–6836. doi:10.1016/j.tsf.2009.05.024 |
| 120. | Schubert, M.; Yin, C.; Castellani, M.; Bange, S.; Tam, T. L.; Sellinger, A.; Hörhold, H.-H.; Kietzke, T.; Neher, D. J. Chem. Phys. 2009, 130, 094703. doi:10.1063/1.3077007 |
| 18. | Yang, Z.; Qin, A.; Zhang, S.; Ye, C. Eur. Polym. J. 2004, 40, 1981–1986. doi:10.1016/j.eurpolymj.2004.04.012 |
| 50. | Li, S.; Yang, Z.; Wang, P.; Kang, H.; Wu, W.; Ye, C.; Yang, M.; Yang, X. Macromolecules 2002, 35, 4314–4316. doi:10.1021/ma011598d |
| 51. | Yang, Z.; Li, S.; Ye, C. J. Polym. Sci., Part A: Polym. Chem. 2002, 40, 4297–4301. doi:10.1002/pola.10505 |
| 52. | Li, S.; Yang, Z.; Ye, C. Chin. J. Polym. Sci. 2004, 22, 453–457. |
| 53. | Li, S.; Kang, H.; Wu, W.; Ye, C. J. Appl. Polym. Sci. 2008, 110, 3758–3762. doi:10.1002/app.23405 |
| 122. | Wu, W.; Wang, D.; Ye, C. Polym. Bull. 1998, 41, 401–408. doi:10.1007/s002890050380 |
| 123. | Zhu, P.; Wang, P.; Wu, W.; Ye, C. J. Nonlinear Opt. Phys. Mater. 1999, 8, 461–468. doi:10.1142/S0218863599000333 |
| 124. | Kang, H.; Wu, W.; Wu, P.; Ye, C. Chin. Sci. Bull. 2001, 46, 827–830. doi:10.1007/BF02900432 |
| 19. | Dierschke, F.; Müllen, K. Macromol. Chem. Phys. 2007, 208, 37–43. doi:10.1002/macp.200600412 |
| 121. | Lindsay, G. A. Second-Order Nonlinear Optical Polymers. In Polymers for Second-Order Nonlinear Optics; Lindsay, G. A.; Singer, K. D., Eds.; American Chemical Society: Washington, DC, 1995; pp 1–19. doi:10.1021/bk-1995-0601 |
| 1. | Forrest, S. R.; Thompson, M. E., Eds. Organic Electronics and Optoelectronics. Chem. Rev. 2007, 107, 923–1386. |
| 2. | Miller, R. D.; Chandross, E. A., Eds. Materials for Electronics. Chem. Rev. 2010, 110, 1–574. |
| 3. | He, G. S.; Tan, L.-S.; Zheng, Q.; Prasad, P. N. Chem. Rev. 2008, 108, 1245–1330. doi:10.1021/cr050054x |
| 114. | Ma, L. P.; Liu, J.; Yang, Y. Appl. Phys. Lett. 2002, 80, 2997–2999. doi:10.1063/1.1473234 |
| 20. | Kulhánek, J.; Bureš, F.; Pytela, O.; Mikysek, T.; Ludvík, J. Chem.–Asian J. 2011, 6, 1604–1612. doi:10.1002/asia.201100097 |
| 116. | Shin, R. Y. C.; Sonar, P.; Siew, P. S.; Chen, Z.-K.; Sellinger, A. J. Org. Chem. 2009, 74, 3293–3298. doi:10.1021/jo802720m |
| 115. | Shin, R. Y. C.; Kietzke, T.; Sudhakar, S.; Dodabalapur, A.; Chen, Z.-K.; Sellinger, A. Chem. Mater. 2007, 19, 1892–1894. doi:10.1021/cm070144d |
| 11. | Patel, A.; Bureš, F.; Ludwig, M.; Kulhánek, J.; Pytela, O.; Růžička, A. Heterocycles 2009, 78, 999–1013. doi:10.3987/COM-08-11609 |
| 12. | Kulhánek, J.; Bureš, F.; Mikysek, T.; Ludvík, J.; Pytela, O. Dyes Pigm. 2011, 90, 48–55. doi:10.1016/j.dyepig.2010.11.004 |
| 13. | Wang, S.; Zhao, L.; Xu, Z.; Wu, C.; Cheng, S. Mater. Lett. 2002, 56, 1035–1038. doi:10.1016/S0167-577X(02)00671-7 |
| 14. | Bu, X. R.; Li, H.; Van Derveer, D.; Mintz, E. A. Tetrahedron Lett. 1996, 37, 7331–7334. doi:10.1016/0040-4039(96)01638-3 |
| 15. | Ren, J.; Wang, S.-M.; Wu, L.-F.; Xu, Z.-X.; Dong, B.-H. Dyes Pigm. 2008, 76, 310–314. doi:10.1016/j.dyepig.2006.09.003 |
| 16. | Wu, W.; Ye, C.; Wang, D. ARKIVOC 2003, ii, 59–69. |
| 17. | Wu, W.; Zhang, Z.; Zhang, X. J. Nonlinear Opt. Phys. Mater. 2005, 14, 61–65. doi:10.1142/S0218863505002499 |
| 18. | Yang, Z.; Qin, A.; Zhang, S.; Ye, C. Eur. Polym. J. 2004, 40, 1981–1986. doi:10.1016/j.eurpolymj.2004.04.012 |
| 19. | Dierschke, F.; Müllen, K. Macromol. Chem. Phys. 2007, 208, 37–43. doi:10.1002/macp.200600412 |
| 20. | Kulhánek, J.; Bureš, F.; Pytela, O.; Mikysek, T.; Ludvík, J. Chem.–Asian J. 2011, 6, 1604–1612. doi:10.1002/asia.201100097 |
| 21. | Wright, J. B. Chem. Rev. 1951, 48, 397–541. doi:10.1021/cr60151a002 |
| 22. | Preston, P. N. Chem. Rev. 1974, 74, 279–314. doi:10.1021/cr60289a001 |
| 23. | Batista, R. M. F.; Costa, S. P. G.; Belsey, M.; Lodeiro, C.; Raposo, M. M. M. Tetrahedron 2008, 64, 9230–9238. doi:10.1016/j.tet.2008.07.043 |
| 24. | Batista, R. M. F.; Costa, S. P. G.; Belsey, M.; Raposo, M. M. M. Tetrahedron 2007, 63, 9842–9849. doi:10.1016/j.tet.2007.06.098 |
| 25. | Carella, A.; Centore, R.; Fort, A.; Peluso, A.; Sirigu, A.; Tuzi, A. Eur. J. Org. Chem. 2004, 2620–2626. doi:10.1002/ejoc.200300786 |
| 26. | Yang, D.; Fokas, D.; Li, J.; Yu, L.; Baldino, C. M. Synthesis 2005, 47–56. doi:10.1055/s-2004-834926 |
| 25. | Carella, A.; Centore, R.; Fort, A.; Peluso, A.; Sirigu, A.; Tuzi, A. Eur. J. Org. Chem. 2004, 2620–2626. doi:10.1002/ejoc.200300786 |
| 62. | Carella, A.; Casalboni, M.; Centore, R.; Fusco, S.; Noce, C.; Quatela, A.; Peluso, A.; Sirigu, A. Opt. Mater. 2007, 30, 473–477. doi:10.1016/j.optmat.2006.12.006 |
| 63. | Carella, A.; Centore, R.; Mager, L.; Barsella, A.; Fort, A. Org. Electron. 2007, 8, 57–62. doi:10.1016/j.orgel.2006.10.008 |
| 64. | Yu, J.; Cui, Y.; Gao, J.; Wang, Z.; Qian, G. J. Phys. Chem. B 2009, 113, 14877–14883. doi:10.1021/jp9048549 |
| 65. | Cross, E. M.; White, K. M.; Moshrefzadeh, R. S.; Francis, C. V. Macromolecules 1995, 28, 2526–2532. doi:10.1021/ma00111a055 |
| 66. | Cross, E. M.; Francis, C. V. Benzimidazole-Derivatized Azo Compounds and Polymers Derived Therefrom for Nonlinear Optics. U.S. Patent 5,321,084, June 14, 1994. |
| 11. | Patel, A.; Bureš, F.; Ludwig, M.; Kulhánek, J.; Pytela, O.; Růžička, A. Heterocycles 2009, 78, 999–1013. doi:10.3987/COM-08-11609 |
| 12. | Kulhánek, J.; Bureš, F.; Mikysek, T.; Ludvík, J.; Pytela, O. Dyes Pigm. 2011, 90, 48–55. doi:10.1016/j.dyepig.2010.11.004 |
| 13. | Wang, S.; Zhao, L.; Xu, Z.; Wu, C.; Cheng, S. Mater. Lett. 2002, 56, 1035–1038. doi:10.1016/S0167-577X(02)00671-7 |
| 14. | Bu, X. R.; Li, H.; Van Derveer, D.; Mintz, E. A. Tetrahedron Lett. 1996, 37, 7331–7334. doi:10.1016/0040-4039(96)01638-3 |
| 15. | Ren, J.; Wang, S.-M.; Wu, L.-F.; Xu, Z.-X.; Dong, B.-H. Dyes Pigm. 2008, 76, 310–314. doi:10.1016/j.dyepig.2006.09.003 |
| 8. | Debus, H. Justus Liebigs Ann. Chem. 1858, 107, 199–208. doi:10.1002/jlac.18581070209 |
| 9. | Radziszewski, B. Ber. Dtsch. Chem. Ges. 1882, 15, 2706–2708. doi:10.1002/cber.188201502245 |
| 10. | Grimmett, M. R. Imidazole and Benzimidazole Synthesis; Academic Press: San Diego, 1997. |
| 25. | Carella, A.; Centore, R.; Fort, A.; Peluso, A.; Sirigu, A.; Tuzi, A. Eur. J. Org. Chem. 2004, 2620–2626. doi:10.1002/ejoc.200300786 |
| 20. | Kulhánek, J.; Bureš, F.; Pytela, O.; Mikysek, T.; Ludvík, J. Chem.–Asian J. 2011, 6, 1604–1612. doi:10.1002/asia.201100097 |
| 4. | Kuzyk, M. G. J. Mater. Chem. 2009, 19, 7444–7465. doi:10.1039/b907364g |
| 5. | Bureš, F.; Schweizer, W. B.; May, J. C.; Boudon, C.; Gisselbrecht, J.-P.; Gross, M.; Biaggio, I.; Diederich, F. Chem.–Eur. J. 2007, 13, 5378–5387. doi:10.1002/chem.200601735 |
| 6. | May, J. C.; Biaggio, I.; Bureš, F.; Diederich, F. Appl. Phys. Lett. 2007, 90, 251106. doi:10.1063/1.2750396 |
| 7. | Bureš, F.; Pytela, O.; Kivala, M.; Diederich, F. J. Phys. Org. Chem. 2011, 24, 274–281. doi:10.1002/poc.1744 |
| 62. | Carella, A.; Casalboni, M.; Centore, R.; Fusco, S.; Noce, C.; Quatela, A.; Peluso, A.; Sirigu, A. Opt. Mater. 2007, 30, 473–477. doi:10.1016/j.optmat.2006.12.006 |
| 63. | Carella, A.; Centore, R.; Mager, L.; Barsella, A.; Fort, A. Org. Electron. 2007, 8, 57–62. doi:10.1016/j.orgel.2006.10.008 |
| 64. | Yu, J.; Cui, Y.; Gao, J.; Wang, Z.; Qian, G. J. Phys. Chem. B 2009, 113, 14877–14883. doi:10.1021/jp9048549 |
| 65. | Cross, E. M.; White, K. M.; Moshrefzadeh, R. S.; Francis, C. V. Macromolecules 1995, 28, 2526–2532. doi:10.1021/ma00111a055 |
| 66. | Cross, E. M.; Francis, C. V. Benzimidazole-Derivatized Azo Compounds and Polymers Derived Therefrom for Nonlinear Optics. U.S. Patent 5,321,084, June 14, 1994. |
| 20. | Kulhánek, J.; Bureš, F.; Pytela, O.; Mikysek, T.; Ludvík, J. Chem.–Asian J. 2011, 6, 1604–1612. doi:10.1002/asia.201100097 |
| 23. | Batista, R. M. F.; Costa, S. P. G.; Belsey, M.; Lodeiro, C.; Raposo, M. M. M. Tetrahedron 2008, 64, 9230–9238. doi:10.1016/j.tet.2008.07.043 |
| 24. | Batista, R. M. F.; Costa, S. P. G.; Belsey, M.; Raposo, M. M. M. Tetrahedron 2007, 63, 9842–9849. doi:10.1016/j.tet.2007.06.098 |
| 25. | Carella, A.; Centore, R.; Fort, A.; Peluso, A.; Sirigu, A.; Tuzi, A. Eur. J. Org. Chem. 2004, 2620–2626. doi:10.1002/ejoc.200300786 |
| 26. | Yang, D.; Fokas, D.; Li, J.; Yu, L.; Baldino, C. M. Synthesis 2005, 47–56. doi:10.1055/s-2004-834926 |
| 19. | Dierschke, F.; Müllen, K. Macromol. Chem. Phys. 2007, 208, 37–43. doi:10.1002/macp.200600412 |
| 59. | Sakaino, Y.; Kakisawa, H.; Kusumi, T.; Maeda, K. J. Org. Chem. 1979, 44, 1241–1244. doi:10.1021/jo01322a010 |
| 60. | Gompper, R.; Mehrer, M.; Polborn, K. Tetrahedron Lett. 1993, 34, 6379–6382. doi:10.1016/0040-4039(93)85050-7 |
| 61. | Wang, P.; Zhu, P.; Wu, W.; Kang, H.; Ye, C. Phys. Chem. Chem. Phys. 1999, 1, 3519–3525. doi:10.1039/a903535d |
| 10. | Grimmett, M. R. Imidazole and Benzimidazole Synthesis; Academic Press: San Diego, 1997. |
| 21. | Wright, J. B. Chem. Rev. 1951, 48, 397–541. doi:10.1021/cr60151a002 |
| 22. | Preston, P. N. Chem. Rev. 1974, 74, 279–314. doi:10.1021/cr60289a001 |
| 61. | Wang, P.; Zhu, P.; Wu, W.; Kang, H.; Ye, C. Phys. Chem. Chem. Phys. 1999, 1, 3519–3525. doi:10.1039/a903535d |
| 20. | Kulhánek, J.; Bureš, F.; Pytela, O.; Mikysek, T.; Ludvík, J. Chem.–Asian J. 2011, 6, 1604–1612. doi:10.1002/asia.201100097 |
| 57. | Li, Z.; Lin, Y.; Xia, J.-L.; Zhang, H.; Fan, F.; Zeng, Q.; Feng, D.; Yin, J.; Liu, S. H. Dyes Pigm. 2011, 90, 245–252. doi:10.1016/j.dyepig.2010.09.015 |
| 16. | Wu, W.; Ye, C.; Wang, D. ARKIVOC 2003, ii, 59–69. |
| 17. | Wu, W.; Zhang, Z.; Zhang, X. J. Nonlinear Opt. Phys. Mater. 2005, 14, 61–65. doi:10.1142/S0218863505002499 |
| 18. | Yang, Z.; Qin, A.; Zhang, S.; Ye, C. Eur. Polym. J. 2004, 40, 1981–1986. doi:10.1016/j.eurpolymj.2004.04.012 |
| 19. | Dierschke, F.; Müllen, K. Macromol. Chem. Phys. 2007, 208, 37–43. doi:10.1002/macp.200600412 |
| 58. | Yuan, J.; Li, Z.; Hu, M.; Li, S.; Huang, S.; Yin, J.; Liu, S. H. Photochem. Photobiol. Sci. 2011, 10, 587–591. doi:10.1039/c0pp00337a |
| 23. | Batista, R. M. F.; Costa, S. P. G.; Belsey, M.; Lodeiro, C.; Raposo, M. M. M. Tetrahedron 2008, 64, 9230–9238. doi:10.1016/j.tet.2008.07.043 |
| 67. | Batista, R. M. F.; Costa, S. P. G.; Belsley, M.; Raposo, M. M. M. Dyes Pigm. 2009, 80, 329–336. doi:10.1016/j.dyepig.2008.08.001 |
| 19. | Dierschke, F.; Müllen, K. Macromol. Chem. Phys. 2007, 208, 37–43. doi:10.1002/macp.200600412 |
| 128. | Koszykowska, M.; Tokarek, M.; Kucharski, S. Mater. Sci. Poland 2009, 27, 699–708. |
| 23. | Batista, R. M. F.; Costa, S. P. G.; Belsey, M.; Lodeiro, C.; Raposo, M. M. M. Tetrahedron 2008, 64, 9230–9238. doi:10.1016/j.tet.2008.07.043 |
| 24. | Batista, R. M. F.; Costa, S. P. G.; Belsey, M.; Raposo, M. M. M. Tetrahedron 2007, 63, 9842–9849. doi:10.1016/j.tet.2007.06.098 |
| 67. | Batista, R. M. F.; Costa, S. P. G.; Belsley, M.; Raposo, M. M. M. Dyes Pigm. 2009, 80, 329–336. doi:10.1016/j.dyepig.2008.08.001 |
| 68. | Sun, Y.-F.; Huang, W.; Lu, C.-G.; Cui, Y.-P. Dyes Pigm. 2009, 81, 10–17. doi:10.1016/j.dyepig.2008.08.003 |
| 69. | Guo, J.-G.; Cui, Y.-M.; Lin, H.-X.; Xie, X.-Z.; Chen, H.-F. J. Photochem. Photobiol., A 2011, 219, 42–49. doi:10.1016/j.jphotochem.2011.01.014 |
| 70. | Eseola, A. O.; Li, W.; Sun, W.-H.; Zhang, M.; Xiao, L.; Woods, J. A. O. Dyes Pigm. 2011, 88, 262–273. doi:10.1016/j.dyepig.2010.07.005 |
| 71. | Wu, J.; Liu, S.-X.; Neels, A.; Le Derf, F.; Sallé, M.; Decurtins, S. Tetrahedron 2007, 63, 11282–11286. doi:10.1016/j.tet.2007.08.091 |
| 125. | Pan, Y.; Tang, X.; Zhu, L.; Huang, Y. Eur. Polym. J. 2007, 43, 1091–1095. doi:10.1016/j.eurpolymj.2006.12.010 |
| 126. | Pan, Y.; Tang, X. J. Appl. Polym. Sci. 2008, 108, 2802–2807. doi:10.1002/app.27579 |
| 127. | Pan, Y.; Tang, X. Synth. Met. 2009, 159, 1796–1799. doi:10.1016/j.synthmet.2009.05.027 |
| 25. | Carella, A.; Centore, R.; Fort, A.; Peluso, A.; Sirigu, A.; Tuzi, A. Eur. J. Org. Chem. 2004, 2620–2626. doi:10.1002/ejoc.200300786 |
| 62. | Carella, A.; Casalboni, M.; Centore, R.; Fusco, S.; Noce, C.; Quatela, A.; Peluso, A.; Sirigu, A. Opt. Mater. 2007, 30, 473–477. doi:10.1016/j.optmat.2006.12.006 |
| 63. | Carella, A.; Centore, R.; Mager, L.; Barsella, A.; Fort, A. Org. Electron. 2007, 8, 57–62. doi:10.1016/j.orgel.2006.10.008 |
| 64. | Yu, J.; Cui, Y.; Gao, J.; Wang, Z.; Qian, G. J. Phys. Chem. B 2009, 113, 14877–14883. doi:10.1021/jp9048549 |
| 24. | Batista, R. M. F.; Costa, S. P. G.; Belsey, M.; Raposo, M. M. M. Tetrahedron 2007, 63, 9842–9849. doi:10.1016/j.tet.2007.06.098 |
| 125. | Pan, Y.; Tang, X.; Zhu, L.; Huang, Y. Eur. Polym. J. 2007, 43, 1091–1095. doi:10.1016/j.eurpolymj.2006.12.010 |
| 126. | Pan, Y.; Tang, X. J. Appl. Polym. Sci. 2008, 108, 2802–2807. doi:10.1002/app.27579 |
| 127. | Pan, Y.; Tang, X. Synth. Met. 2009, 159, 1796–1799. doi:10.1016/j.synthmet.2009.05.027 |
| 18. | Yang, Z.; Qin, A.; Zhang, S.; Ye, C. Eur. Polym. J. 2004, 40, 1981–1986. doi:10.1016/j.eurpolymj.2004.04.012 |
| 50. | Li, S.; Yang, Z.; Wang, P.; Kang, H.; Wu, W.; Ye, C.; Yang, M.; Yang, X. Macromolecules 2002, 35, 4314–4316. doi:10.1021/ma011598d |
| 51. | Yang, Z.; Li, S.; Ye, C. J. Polym. Sci., Part A: Polym. Chem. 2002, 40, 4297–4301. doi:10.1002/pola.10505 |
| 52. | Li, S.; Yang, Z.; Ye, C. Chin. J. Polym. Sci. 2004, 22, 453–457. |
| 53. | Li, S.; Kang, H.; Wu, W.; Ye, C. J. Appl. Polym. Sci. 2008, 110, 3758–3762. doi:10.1002/app.23405 |
| 122. | Wu, W.; Wang, D.; Ye, C. Polym. Bull. 1998, 41, 401–408. doi:10.1007/s002890050380 |
| 123. | Zhu, P.; Wang, P.; Wu, W.; Ye, C. J. Nonlinear Opt. Phys. Mater. 1999, 8, 461–468. doi:10.1142/S0218863599000333 |
| 124. | Kang, H.; Wu, W.; Wu, P.; Ye, C. Chin. Sci. Bull. 2001, 46, 827–830. doi:10.1007/BF02900432 |
| 18. | Yang, Z.; Qin, A.; Zhang, S.; Ye, C. Eur. Polym. J. 2004, 40, 1981–1986. doi:10.1016/j.eurpolymj.2004.04.012 |
| 125. | Pan, Y.; Tang, X.; Zhu, L.; Huang, Y. Eur. Polym. J. 2007, 43, 1091–1095. doi:10.1016/j.eurpolymj.2006.12.010 |
| 126. | Pan, Y.; Tang, X. J. Appl. Polym. Sci. 2008, 108, 2802–2807. doi:10.1002/app.27579 |
| 127. | Pan, Y.; Tang, X. Synth. Met. 2009, 159, 1796–1799. doi:10.1016/j.synthmet.2009.05.027 |
| 18. | Yang, Z.; Qin, A.; Zhang, S.; Ye, C. Eur. Polym. J. 2004, 40, 1981–1986. doi:10.1016/j.eurpolymj.2004.04.012 |
| 50. | Li, S.; Yang, Z.; Wang, P.; Kang, H.; Wu, W.; Ye, C.; Yang, M.; Yang, X. Macromolecules 2002, 35, 4314–4316. doi:10.1021/ma011598d |
| 51. | Yang, Z.; Li, S.; Ye, C. J. Polym. Sci., Part A: Polym. Chem. 2002, 40, 4297–4301. doi:10.1002/pola.10505 |
| 52. | Li, S.; Yang, Z.; Ye, C. Chin. J. Polym. Sci. 2004, 22, 453–457. |
| 53. | Li, S.; Kang, H.; Wu, W.; Ye, C. J. Appl. Polym. Sci. 2008, 110, 3758–3762. doi:10.1002/app.23405 |
| 122. | Wu, W.; Wang, D.; Ye, C. Polym. Bull. 1998, 41, 401–408. doi:10.1007/s002890050380 |
| 123. | Zhu, P.; Wang, P.; Wu, W.; Ye, C. J. Nonlinear Opt. Phys. Mater. 1999, 8, 461–468. doi:10.1142/S0218863599000333 |
| 124. | Kang, H.; Wu, W.; Wu, P.; Ye, C. Chin. Sci. Bull. 2001, 46, 827–830. doi:10.1007/BF02900432 |
| 122. | Wu, W.; Wang, D.; Ye, C. Polym. Bull. 1998, 41, 401–408. doi:10.1007/s002890050380 |
| 123. | Zhu, P.; Wang, P.; Wu, W.; Ye, C. J. Nonlinear Opt. Phys. Mater. 1999, 8, 461–468. doi:10.1142/S0218863599000333 |
| 71. | Wu, J.; Liu, S.-X.; Neels, A.; Le Derf, F.; Sallé, M.; Decurtins, S. Tetrahedron 2007, 63, 11282–11286. doi:10.1016/j.tet.2007.08.091 |
| 50. | Li, S.; Yang, Z.; Wang, P.; Kang, H.; Wu, W.; Ye, C.; Yang, M.; Yang, X. Macromolecules 2002, 35, 4314–4316. doi:10.1021/ma011598d |
| 51. | Yang, Z.; Li, S.; Ye, C. J. Polym. Sci., Part A: Polym. Chem. 2002, 40, 4297–4301. doi:10.1002/pola.10505 |
| 52. | Li, S.; Yang, Z.; Ye, C. Chin. J. Polym. Sci. 2004, 22, 453–457. |
| 53. | Li, S.; Kang, H.; Wu, W.; Ye, C. J. Appl. Polym. Sci. 2008, 110, 3758–3762. doi:10.1002/app.23405 |
| 72. | Sanguinet, L.; Pozzo, J.-L.; Guillaume, M.; Champagne, B.; Castet, F.; Ducasse, L.; Maury, E.; Soulié, J.; Mançois, F.; Adamietz, F.; Rodriguez, V. J. Phys. Chem. B 2006, 110, 10672–10682. doi:10.1021/jp060825g |
| 124. | Kang, H.; Wu, W.; Wu, P.; Ye, C. Chin. Sci. Bull. 2001, 46, 827–830. doi:10.1007/BF02900432 |
| 69. | Guo, J.-G.; Cui, Y.-M.; Lin, H.-X.; Xie, X.-Z.; Chen, H.-F. J. Photochem. Photobiol., A 2011, 219, 42–49. doi:10.1016/j.jphotochem.2011.01.014 |
| 70. | Eseola, A. O.; Li, W.; Sun, W.-H.; Zhang, M.; Xiao, L.; Woods, J. A. O. Dyes Pigm. 2011, 88, 262–273. doi:10.1016/j.dyepig.2010.07.005 |
| 23. | Batista, R. M. F.; Costa, S. P. G.; Belsey, M.; Lodeiro, C.; Raposo, M. M. M. Tetrahedron 2008, 64, 9230–9238. doi:10.1016/j.tet.2008.07.043 |
| 24. | Batista, R. M. F.; Costa, S. P. G.; Belsey, M.; Raposo, M. M. M. Tetrahedron 2007, 63, 9842–9849. doi:10.1016/j.tet.2007.06.098 |
| 67. | Batista, R. M. F.; Costa, S. P. G.; Belsley, M.; Raposo, M. M. M. Dyes Pigm. 2009, 80, 329–336. doi:10.1016/j.dyepig.2008.08.001 |
| 68. | Sun, Y.-F.; Huang, W.; Lu, C.-G.; Cui, Y.-P. Dyes Pigm. 2009, 81, 10–17. doi:10.1016/j.dyepig.2008.08.003 |
| 40. | Zhang, M.; Li, M.; Zhao, Q.; Li, F.; Zhang, D.; Zhang, J.; Yi, T.; Huang, C. Tetrahedron Lett. 2007, 48, 2329–2333. doi:10.1016/j.tetlet.2007.01.158 |
| 41. | Velusamy, M.; Hsu, Y.-C.; Lin, J. T.; Chang, C.-W.; Hsu, C.-P. Chem.–Asian J. 2010, 5, 87–96. doi:10.1002/asia.200900244 |
| 105. | Cui, Y.; Qian, G.; Chen, L.; Wang, Z.; Wang, M. Macromol. Rapid Commun. 2007, 28, 2019–2023. doi:10.1002/marc.200700375 |
| 13. | Wang, S.; Zhao, L.; Xu, Z.; Wu, C.; Cheng, S. Mater. Lett. 2002, 56, 1035–1038. doi:10.1016/S0167-577X(02)00671-7 |
| 15. | Ren, J.; Wang, S.-M.; Wu, L.-F.; Xu, Z.-X.; Dong, B.-H. Dyes Pigm. 2008, 76, 310–314. doi:10.1016/j.dyepig.2006.09.003 |
| 37. | Fang, Z.; Wang, S.; Zhao, L.; Xu, Z.; Ren, J.; Wang, X.; Yang, Q. Mater. Lett. 2007, 61, 4803–4806. doi:10.1016/j.matlet.2007.03.038 |
| 38. | Yan, Y.-X.; Sun, Y.-H.; Tian, L.; Fan, H.-H.; Wang, H.-Z.; Wang, C.-K.; Tian, Y.-P.; Tao, X.-T.; Jiang, M.-H. Opt. Mater. 2007, 30, 423–426. doi:10.1016/j.optmat.2006.11.073 |
| 39. | Yan, Y.-X.; Fan, H.-H.; Lam, C.-K.; Huang, H.; Wang, J.; Hu, S.; Wang, H.-Z.; Chen, X.-M. Bull. Chem. Soc. Jpn. 2006, 79, 1614–1619. doi:10.1246/bcsj.79.1614 |
| 40. | Zhang, M.; Li, M.; Zhao, Q.; Li, F.; Zhang, D.; Zhang, J.; Yi, T.; Huang, C. Tetrahedron Lett. 2007, 48, 2329–2333. doi:10.1016/j.tetlet.2007.01.158 |
| 41. | Velusamy, M.; Hsu, Y.-C.; Lin, J. T.; Chang, C.-W.; Hsu, C.-P. Chem.–Asian J. 2010, 5, 87–96. doi:10.1002/asia.200900244 |
| 130. | Wang, X.; Yang, K.; Kumar, J.; Tripathy, S. K.; Chittibabu, K. G.; Li, L.; Lindsay, G. Macromolecules 1998, 31, 4126–4134. doi:10.1021/ma971615s |
| 75. | Barashkov, N. N.; Novikova, T. S.; Guerrero, D. J.; Ferraris, J. P. Synth. Met. 1995, 75, 241–248. doi:10.1016/0379-6779(96)80014-2 |
| 77. | Saito, R.; Matsumura, Y.; Suzuki, S.; Okazaki, N. Tetrahedron 2010, 66, 8273–8279. doi:10.1016/j.tet.2010.08.036 |
| 62. | Carella, A.; Casalboni, M.; Centore, R.; Fusco, S.; Noce, C.; Quatela, A.; Peluso, A.; Sirigu, A. Opt. Mater. 2007, 30, 473–477. doi:10.1016/j.optmat.2006.12.006 |
| 63. | Carella, A.; Centore, R.; Mager, L.; Barsella, A.; Fort, A. Org. Electron. 2007, 8, 57–62. doi:10.1016/j.orgel.2006.10.008 |
| 65. | Cross, E. M.; White, K. M.; Moshrefzadeh, R. S.; Francis, C. V. Macromolecules 1995, 28, 2526–2532. doi:10.1021/ma00111a055 |
| 29. | Johnson, D. M.; Rasmussen, P. G. Macromolecules 2000, 33, 8597–8603. doi:10.1021/ma000779x |
| 81. | Densmore, C. G.; Rasmussen, P. G. Macromolecules 2004, 37, 5900–5910. doi:10.1021/ma035920r |
| 86. | Jang, T.; Rasmussen, P. G. J. Polym. Sci., Part A: Polym. Chem. 1998, 36, 2619–2629. doi:10.1002/(SICI)1099-0518(199810)36:14<2619::AID-POLA22>3.0.CO;2-K |
| 87. | Apen, P. G.; Rasmussen, P. G. J. Polym. Sci., Part A: Polym. Chem. 1992, 30, 203–210. doi:10.1002/pola.1992.080300204 |
| 88. | Jang, T.; Rasmussen, P. G. J. Polym. Sci., Part A: Polym. Chem. 2000, 38, 3828–3838. doi:10.1002/1099-0518(20001015)38:20<3828::AID-POLA140>3.0.CO;2-8 |
| 96. | Allan, D. S.; Thurber, E. L.; Rasmussen, P. G. J. Polym. Sci., Part A: Polym. Chem. 1990, 28, 2475–2483. doi:10.1002/pola.1990.080280920 |
| 97. | Thurber, E. L.; Rasmussen, P. G. J. Polym. Sci., Part A: Polym. Chem. 1993, 31, 351–364. doi:10.1002/pola.1993.080310207 |
| 98. | Kim, Y.-K.; Rasmussen, P. G. J. Polym. Sci., Part A: Polym. Chem. 1993, 31, 2583–2594. doi:10.1002/pola.1993.080311019 |
| 99. | Bouck, K. J.; Rasmussen, P. G. Macromolecules 1993, 26, 2077–2084. doi:10.1021/ma00060a041 |
| 129. | Lebedeva, G. K.; Loretsyan, N. L.; Ivanova, V. N.; Romashkova, K. A.; Lukoshkin, V. A.; Kudryavtsev, V. V. Phys. Solid State 2002, 44, 395–398. doi:10.1134/1.1451035 |
| 11. | Patel, A.; Bureš, F.; Ludwig, M.; Kulhánek, J.; Pytela, O.; Růžička, A. Heterocycles 2009, 78, 999–1013. doi:10.3987/COM-08-11609 |
| 128. | Koszykowska, M.; Tokarek, M.; Kucharski, S. Mater. Sci. Poland 2009, 27, 699–708. |
| 12. | Kulhánek, J.; Bureš, F.; Mikysek, T.; Ludvík, J.; Pytela, O. Dyes Pigm. 2011, 90, 48–55. doi:10.1016/j.dyepig.2010.11.004 |
| 19. | Dierschke, F.; Müllen, K. Macromol. Chem. Phys. 2007, 208, 37–43. doi:10.1002/macp.200600412 |
| 16. | Wu, W.; Ye, C.; Wang, D. ARKIVOC 2003, ii, 59–69. |
| 17. | Wu, W.; Zhang, Z.; Zhang, X. J. Nonlinear Opt. Phys. Mater. 2005, 14, 61–65. doi:10.1142/S0218863505002499 |
| 47. | Wu, W.; Zhang, Z.; Zhang, X. J. Chem. Res. 2004, 617–619. doi:10.3184/0308234042430548 |
| 65. | Cross, E. M.; White, K. M.; Moshrefzadeh, R. S.; Francis, C. V. Macromolecules 1995, 28, 2526–2532. doi:10.1021/ma00111a055 |
| 66. | Cross, E. M.; Francis, C. V. Benzimidazole-Derivatized Azo Compounds and Polymers Derived Therefrom for Nonlinear Optics. U.S. Patent 5,321,084, June 14, 1994. |
| 11. | Patel, A.; Bureš, F.; Ludwig, M.; Kulhánek, J.; Pytela, O.; Růžička, A. Heterocycles 2009, 78, 999–1013. doi:10.3987/COM-08-11609 |
| 62. | Carella, A.; Casalboni, M.; Centore, R.; Fusco, S.; Noce, C.; Quatela, A.; Peluso, A.; Sirigu, A. Opt. Mater. 2007, 30, 473–477. doi:10.1016/j.optmat.2006.12.006 |
| 63. | Carella, A.; Centore, R.; Mager, L.; Barsella, A.; Fort, A. Org. Electron. 2007, 8, 57–62. doi:10.1016/j.orgel.2006.10.008 |
| 16. | Wu, W.; Ye, C.; Wang, D. ARKIVOC 2003, ii, 59–69. |
| 17. | Wu, W.; Zhang, Z.; Zhang, X. J. Nonlinear Opt. Phys. Mater. 2005, 14, 61–65. doi:10.1142/S0218863505002499 |
| 47. | Wu, W.; Zhang, Z.; Zhang, X. J. Chem. Res. 2004, 617–619. doi:10.3184/0308234042430548 |
| 16. | Wu, W.; Ye, C.; Wang, D. ARKIVOC 2003, ii, 59–69. |
| 17. | Wu, W.; Zhang, Z.; Zhang, X. J. Nonlinear Opt. Phys. Mater. 2005, 14, 61–65. doi:10.1142/S0218863505002499 |
| 47. | Wu, W.; Zhang, Z.; Zhang, X. J. Chem. Res. 2004, 617–619. doi:10.3184/0308234042430548 |
| 13. | Wang, S.; Zhao, L.; Xu, Z.; Wu, C.; Cheng, S. Mater. Lett. 2002, 56, 1035–1038. doi:10.1016/S0167-577X(02)00671-7 |
| 15. | Ren, J.; Wang, S.-M.; Wu, L.-F.; Xu, Z.-X.; Dong, B.-H. Dyes Pigm. 2008, 76, 310–314. doi:10.1016/j.dyepig.2006.09.003 |
| 37. | Fang, Z.; Wang, S.; Zhao, L.; Xu, Z.; Ren, J.; Wang, X.; Yang, Q. Mater. Lett. 2007, 61, 4803–4806. doi:10.1016/j.matlet.2007.03.038 |
| 42. | Xu, Z.-X.; Wang, S.-M.; Zhao, L.; Zhang, S.-L.; Li, J.-B. Chin. J. Org. Chem. 2003, 23, 950–952. |
| 43. | Zhao, L.; Wang, S.-M.; Xu, Z.-X.; Zhang, S.-L.; Wu, C.-H.; Cheng, S.-Y. Chem. Res. Chin. Univ. 2003, 19, 28–31. |
| 44. | Chuang, W.-T.; Chen, B.-S.; Chen, K.-Y.; Hsieh, C.-C.; Chou, P.-T. Chem. Commun. 2009, 6982–6984. doi:10.1039/b908542d |
| 45. | Jayabharathi, J.; Thanikachalam, V.; Srinivasan, N.; Saravanan, K. J. Fluoresc. 2011, 21, 595–606. doi:10.1007/s10895-010-0747-5 |
| 46. | Sekar, N. Colourage 2002, 49, 59–60. |
| 12. | Kulhánek, J.; Bureš, F.; Mikysek, T.; Ludvík, J.; Pytela, O. Dyes Pigm. 2011, 90, 48–55. doi:10.1016/j.dyepig.2010.11.004 |
| 12. | Kulhánek, J.; Bureš, F.; Mikysek, T.; Ludvík, J.; Pytela, O. Dyes Pigm. 2011, 90, 48–55. doi:10.1016/j.dyepig.2010.11.004 |
| 48. | Ra, C. S.; Kim, S. C.; Park, G. J. Mol. Struct.: THEOCHEM 2004, 677, 173–178. doi:10.1016/j.theochem.2004.01.025 |
| 49. | Jug, K.; Chiodo, S.; Calaminici, P.; Avramopoulos, A.; Papadopoulos, M. G. J. Phys. Chem. A 2003, 107, 4172–4183. doi:10.1021/jp022403m |
| 19. | Dierschke, F.; Müllen, K. Macromol. Chem. Phys. 2007, 208, 37–43. doi:10.1002/macp.200600412 |
| 54. | Zhao, L.; Li, S. B.; Wen, G. A.; Peng, B.; Huang, W. Mater. Chem. Phys. 2006, 100, 460–463. doi:10.1016/j.matchemphys.2006.01.025 |
| 55. | Fridman, N.; Kaftory, M.; Speiser, S. Sens. Actuators, B 2007, 126, 107–115. doi:10.1016/j.snb.2006.10.066 |
| 56. | Pina, J.; Seixas de Melo, J. S.; Batista, R. M. F.; Costa, S. P. G.; Raposo, M. M. M. J. Phys. Chem. B 2010, 114, 4964–4972. doi:10.1021/jp9104954 |
| 57. | Li, Z.; Lin, Y.; Xia, J.-L.; Zhang, H.; Fan, F.; Zeng, Q.; Feng, D.; Yin, J.; Liu, S. H. Dyes Pigm. 2011, 90, 245–252. doi:10.1016/j.dyepig.2010.09.015 |
| 58. | Yuan, J.; Li, Z.; Hu, M.; Li, S.; Huang, S.; Yin, J.; Liu, S. H. Photochem. Photobiol. Sci. 2011, 10, 587–591. doi:10.1039/c0pp00337a |
| 54. | Zhao, L.; Li, S. B.; Wen, G. A.; Peng, B.; Huang, W. Mater. Chem. Phys. 2006, 100, 460–463. doi:10.1016/j.matchemphys.2006.01.025 |
| 19. | Dierschke, F.; Müllen, K. Macromol. Chem. Phys. 2007, 208, 37–43. doi:10.1002/macp.200600412 |
| 54. | Zhao, L.; Li, S. B.; Wen, G. A.; Peng, B.; Huang, W. Mater. Chem. Phys. 2006, 100, 460–463. doi:10.1016/j.matchemphys.2006.01.025 |
| 55. | Fridman, N.; Kaftory, M.; Speiser, S. Sens. Actuators, B 2007, 126, 107–115. doi:10.1016/j.snb.2006.10.066 |
| 56. | Pina, J.; Seixas de Melo, J. S.; Batista, R. M. F.; Costa, S. P. G.; Raposo, M. M. M. J. Phys. Chem. B 2010, 114, 4964–4972. doi:10.1021/jp9104954 |
| 57. | Li, Z.; Lin, Y.; Xia, J.-L.; Zhang, H.; Fan, F.; Zeng, Q.; Feng, D.; Yin, J.; Liu, S. H. Dyes Pigm. 2011, 90, 245–252. doi:10.1016/j.dyepig.2010.09.015 |
| 58. | Yuan, J.; Li, Z.; Hu, M.; Li, S.; Huang, S.; Yin, J.; Liu, S. H. Photochem. Photobiol. Sci. 2011, 10, 587–591. doi:10.1039/c0pp00337a |
| 19. | Dierschke, F.; Müllen, K. Macromol. Chem. Phys. 2007, 208, 37–43. doi:10.1002/macp.200600412 |
| 54. | Zhao, L.; Li, S. B.; Wen, G. A.; Peng, B.; Huang, W. Mater. Chem. Phys. 2006, 100, 460–463. doi:10.1016/j.matchemphys.2006.01.025 |
| 55. | Fridman, N.; Kaftory, M.; Speiser, S. Sens. Actuators, B 2007, 126, 107–115. doi:10.1016/j.snb.2006.10.066 |
| 56. | Pina, J.; Seixas de Melo, J. S.; Batista, R. M. F.; Costa, S. P. G.; Raposo, M. M. M. J. Phys. Chem. B 2010, 114, 4964–4972. doi:10.1021/jp9104954 |
| 57. | Li, Z.; Lin, Y.; Xia, J.-L.; Zhang, H.; Fan, F.; Zeng, Q.; Feng, D.; Yin, J.; Liu, S. H. Dyes Pigm. 2011, 90, 245–252. doi:10.1016/j.dyepig.2010.09.015 |
| 58. | Yuan, J.; Li, Z.; Hu, M.; Li, S.; Huang, S.; Yin, J.; Liu, S. H. Photochem. Photobiol. Sci. 2011, 10, 587–591. doi:10.1039/c0pp00337a |
| 16. | Wu, W.; Ye, C.; Wang, D. ARKIVOC 2003, ii, 59–69. |
| 17. | Wu, W.; Zhang, Z.; Zhang, X. J. Nonlinear Opt. Phys. Mater. 2005, 14, 61–65. doi:10.1142/S0218863505002499 |
| 18. | Yang, Z.; Qin, A.; Zhang, S.; Ye, C. Eur. Polym. J. 2004, 40, 1981–1986. doi:10.1016/j.eurpolymj.2004.04.012 |
| 50. | Li, S.; Yang, Z.; Wang, P.; Kang, H.; Wu, W.; Ye, C.; Yang, M.; Yang, X. Macromolecules 2002, 35, 4314–4316. doi:10.1021/ma011598d |
| 51. | Yang, Z.; Li, S.; Ye, C. J. Polym. Sci., Part A: Polym. Chem. 2002, 40, 4297–4301. doi:10.1002/pola.10505 |
| 52. | Li, S.; Yang, Z.; Ye, C. Chin. J. Polym. Sci. 2004, 22, 453–457. |
| 53. | Li, S.; Kang, H.; Wu, W.; Ye, C. J. Appl. Polym. Sci. 2008, 110, 3758–3762. doi:10.1002/app.23405 |
| 105. | Cui, Y.; Qian, G.; Chen, L.; Wang, Z.; Wang, M. Macromol. Rapid Commun. 2007, 28, 2019–2023. doi:10.1002/marc.200700375 |
| 130. | Wang, X.; Yang, K.; Kumar, J.; Tripathy, S. K.; Chittibabu, K. G.; Li, L.; Lindsay, G. Macromolecules 1998, 31, 4126–4134. doi:10.1021/ma971615s |
| 16. | Wu, W.; Ye, C.; Wang, D. ARKIVOC 2003, ii, 59–69. |
| 17. | Wu, W.; Zhang, Z.; Zhang, X. J. Nonlinear Opt. Phys. Mater. 2005, 14, 61–65. doi:10.1142/S0218863505002499 |
| 18. | Yang, Z.; Qin, A.; Zhang, S.; Ye, C. Eur. Polym. J. 2004, 40, 1981–1986. doi:10.1016/j.eurpolymj.2004.04.012 |
| 50. | Li, S.; Yang, Z.; Wang, P.; Kang, H.; Wu, W.; Ye, C.; Yang, M.; Yang, X. Macromolecules 2002, 35, 4314–4316. doi:10.1021/ma011598d |
| 51. | Yang, Z.; Li, S.; Ye, C. J. Polym. Sci., Part A: Polym. Chem. 2002, 40, 4297–4301. doi:10.1002/pola.10505 |
| 52. | Li, S.; Yang, Z.; Ye, C. Chin. J. Polym. Sci. 2004, 22, 453–457. |
| 53. | Li, S.; Kang, H.; Wu, W.; Ye, C. J. Appl. Polym. Sci. 2008, 110, 3758–3762. doi:10.1002/app.23405 |
| 103. | Carella, A.; Centore, R.; Sirigu, A.; Tuzi, A.; Quatela, A.; Schutzmann, S.; Casalboni, M. Macromol. Chem. Phys. 2004, 205, 1948–1954. doi:10.1002/macp.200400129 |
| 104. | Carella, A.; Centore, R.; Riccio, P.; Sirigu, A.; Quatela, A.; Palazzesi, C.; Casalboni, M. Macromol. Chem. Phys. 2005, 206, 1399–1404. doi:10.1002/macp.200500112 |
| 105. | Cui, Y.; Qian, G.; Chen, L.; Wang, Z.; Wang, M. Macromol. Rapid Commun. 2007, 28, 2019–2023. doi:10.1002/marc.200700375 |
| 106. | Yu, J.; Qiu, J.; Cui, Y.; Hu, J.; Liu, L.; Xu, L.; Qian, G. Mater. Lett. 2009, 63, 2594–2596. doi:10.1016/j.matlet.2009.09.019 |
| 103. | Carella, A.; Centore, R.; Sirigu, A.; Tuzi, A.; Quatela, A.; Schutzmann, S.; Casalboni, M. Macromol. Chem. Phys. 2004, 205, 1948–1954. doi:10.1002/macp.200400129 |
| 104. | Carella, A.; Centore, R.; Riccio, P.; Sirigu, A.; Quatela, A.; Palazzesi, C.; Casalboni, M. Macromol. Chem. Phys. 2005, 206, 1399–1404. doi:10.1002/macp.200500112 |
| 103. | Carella, A.; Centore, R.; Sirigu, A.; Tuzi, A.; Quatela, A.; Schutzmann, S.; Casalboni, M. Macromol. Chem. Phys. 2004, 205, 1948–1954. doi:10.1002/macp.200400129 |
| 104. | Carella, A.; Centore, R.; Riccio, P.; Sirigu, A.; Quatela, A.; Palazzesi, C.; Casalboni, M. Macromol. Chem. Phys. 2005, 206, 1399–1404. doi:10.1002/macp.200500112 |
| 105. | Cui, Y.; Qian, G.; Chen, L.; Wang, Z.; Wang, M. Macromol. Rapid Commun. 2007, 28, 2019–2023. doi:10.1002/marc.200700375 |
| 106. | Yu, J.; Qiu, J.; Cui, Y.; Hu, J.; Liu, L.; Xu, L.; Qian, G. Mater. Lett. 2009, 63, 2594–2596. doi:10.1016/j.matlet.2009.09.019 |
| 101. | Heckmeier, M.; Farrand, L. D. 4,5-Dicyanoimidazole Derivatives and Their Use in Liquid Crystal Media and Liquid Crystal Devices. GB Patent Application GB 2 396 154 A, June 16, 2004. |
| 100. | Donald, D. S.; Webster, O. W. Adv. Heterocycl. Chem. 1987, 41, 1–40. doi:10.1016/S0065-2725(08)60159-2 |
| 31. | Moylan, C. R.; Miller, R. D.; Twieg, R. J.; Betterton, K. M.; Lee, V. Y.; Matray, T. J.; Nguyen, C. Chem. Mater. 1993, 5, 1499–1508. doi:10.1021/cm00034a021 |
| 33. | Santos, J.; Mintz, E. A.; Zehnder, O.; Bosshard, C.; Bu, X. R.; Günter, P. Tetrahedron Lett. 2001, 42, 805–808. doi:10.1016/S0040-4039(00)02143-2 |
| 31. | Moylan, C. R.; Miller, R. D.; Twieg, R. J.; Betterton, K. M.; Lee, V. Y.; Matray, T. J.; Nguyen, C. Chem. Mater. 1993, 5, 1499–1508. doi:10.1021/cm00034a021 |
| 32. | Miller, R. D.; Lee, V. Y.; Moylan, C. R. Chem. Mater. 1994, 6, 1023–1032. doi:10.1021/cm00043a026 |
| 31. | Moylan, C. R.; Miller, R. D.; Twieg, R. J.; Betterton, K. M.; Lee, V. Y.; Matray, T. J.; Nguyen, C. Chem. Mater. 1993, 5, 1499–1508. doi:10.1021/cm00034a021 |
| 32. | Miller, R. D.; Lee, V. Y.; Moylan, C. R. Chem. Mater. 1994, 6, 1023–1032. doi:10.1021/cm00043a026 |
| 28. | O’Connell, J. F.; Parquette, J.; Yelle, W. E.; Wang, W.; Rapoport, H. Synthesis 1988, 767–771. doi:10.1055/s-1988-27702 |
| 29. | Johnson, D. M.; Rasmussen, P. G. Macromolecules 2000, 33, 8597–8603. doi:10.1021/ma000779x |
| 30. | Kulhánek, J.; Bureš, F.; Pytela, O.; Mikysek, T.; Ludvík, J.; Růžička, A. Dyes Pigm. 2010, 85, 57–65. doi:10.1016/j.dyepig.2009.10.004 |
| 30. | Kulhánek, J.; Bureš, F.; Pytela, O.; Mikysek, T.; Ludvík, J.; Růžička, A. Dyes Pigm. 2010, 85, 57–65. doi:10.1016/j.dyepig.2009.10.004 |
| 27. | Woodward, D. W. 4,5-Imidazoledicarbonitrile and Method of Preparation. U.S. Patent 2,534,331, Dec 19, 1950. |
| 28. | O’Connell, J. F.; Parquette, J.; Yelle, W. E.; Wang, W.; Rapoport, H. Synthesis 1988, 767–771. doi:10.1055/s-1988-27702 |
| 29. | Johnson, D. M.; Rasmussen, P. G. Macromolecules 2000, 33, 8597–8603. doi:10.1021/ma000779x |
| 30. | Kulhánek, J.; Bureš, F.; Pytela, O.; Mikysek, T.; Ludvík, J.; Růžička, A. Dyes Pigm. 2010, 85, 57–65. doi:10.1016/j.dyepig.2009.10.004 |
| 30. | Kulhánek, J.; Bureš, F.; Pytela, O.; Mikysek, T.; Ludvík, J.; Růžička, A. Dyes Pigm. 2010, 85, 57–65. doi:10.1016/j.dyepig.2009.10.004 |
| 27. | Woodward, D. W. 4,5-Imidazoledicarbonitrile and Method of Preparation. U.S. Patent 2,534,331, Dec 19, 1950. |
| 107. | Kulhánek, J.; Bureš, F.; Ludwig, M. Beilstein J. Org. Chem. 2009, 5, No. 11. doi:10.3762/bjoc.5.11 |
| 34. | Bu, X. R.; VanDerveer, D.; Santos, J.; Hsu, F.-L.; Wang, J.; Bota, K. Anal. Sci. 2003, 19, 469–470. doi:10.2116/analsci.19.469 |
| 14. | Bu, X. R.; Li, H.; Van Derveer, D.; Mintz, E. A. Tetrahedron Lett. 1996, 37, 7331–7334. doi:10.1016/0040-4039(96)01638-3 |
| 33. | Santos, J.; Mintz, E. A.; Zehnder, O.; Bosshard, C.; Bu, X. R.; Günter, P. Tetrahedron Lett. 2001, 42, 805–808. doi:10.1016/S0040-4039(00)02143-2 |
| 37. | Fang, Z.; Wang, S.; Zhao, L.; Xu, Z.; Ren, J.; Wang, X.; Yang, Q. Mater. Lett. 2007, 61, 4803–4806. doi:10.1016/j.matlet.2007.03.038 |
| 38. | Yan, Y.-X.; Sun, Y.-H.; Tian, L.; Fan, H.-H.; Wang, H.-Z.; Wang, C.-K.; Tian, Y.-P.; Tao, X.-T.; Jiang, M.-H. Opt. Mater. 2007, 30, 423–426. doi:10.1016/j.optmat.2006.11.073 |
| 39. | Yan, Y.-X.; Fan, H.-H.; Lam, C.-K.; Huang, H.; Wang, J.; Hu, S.; Wang, H.-Z.; Chen, X.-M. Bull. Chem. Soc. Jpn. 2006, 79, 1614–1619. doi:10.1246/bcsj.79.1614 |
| 13. | Wang, S.; Zhao, L.; Xu, Z.; Wu, C.; Cheng, S. Mater. Lett. 2002, 56, 1035–1038. doi:10.1016/S0167-577X(02)00671-7 |
| 15. | Ren, J.; Wang, S.-M.; Wu, L.-F.; Xu, Z.-X.; Dong, B.-H. Dyes Pigm. 2008, 76, 310–314. doi:10.1016/j.dyepig.2006.09.003 |
| 16. | Wu, W.; Ye, C.; Wang, D. ARKIVOC 2003, ii, 59–69. |
| 33. | Santos, J.; Mintz, E. A.; Zehnder, O.; Bosshard, C.; Bu, X. R.; Günter, P. Tetrahedron Lett. 2001, 42, 805–808. doi:10.1016/S0040-4039(00)02143-2 |
| 34. | Bu, X. R.; VanDerveer, D.; Santos, J.; Hsu, F.-L.; Wang, J.; Bota, K. Anal. Sci. 2003, 19, 469–470. doi:10.2116/analsci.19.469 |
| 35. | Feng, K.; De Boni, L.; Misoguti, L.; Mendonça, C. R.; Meador, M.; Hsu, F.-L.; Bu, X. R. Chem. Commun. 2004, 1178–1180. doi:10.1039/b402019g |
| 33. | Santos, J.; Mintz, E. A.; Zehnder, O.; Bosshard, C.; Bu, X. R.; Günter, P. Tetrahedron Lett. 2001, 42, 805–808. doi:10.1016/S0040-4039(00)02143-2 |
| 34. | Bu, X. R.; VanDerveer, D.; Santos, J.; Hsu, F.-L.; Wang, J.; Bota, K. Anal. Sci. 2003, 19, 469–470. doi:10.2116/analsci.19.469 |
| 35. | Feng, K.; De Boni, L.; Misoguti, L.; Mendonça, C. R.; Meador, M.; Hsu, F.-L.; Bu, X. R. Chem. Commun. 2004, 1178–1180. doi:10.1039/b402019g |
| 35. | Feng, K.; De Boni, L.; Misoguti, L.; Mendonça, C. R.; Meador, M.; Hsu, F.-L.; Bu, X. R. Chem. Commun. 2004, 1178–1180. doi:10.1039/b402019g |
| 36. | Feng, K.; Hsu, F.-L.; VanDerveer, D.; Bota, K.; Bu, X. R. J. Photochem. Photobiol., A 2004, 165, 223–228. doi:10.1016/j.jphotochem.2004.03.021 |
© 2012 Kulhánek and Bureš; licensee Beilstein-Institut.
This is an Open Access article under the terms of the Creative Commons Attribution License (http://creativecommons.org/licenses/by/2.0), which permits unrestricted use, distribution, and reproduction in any medium, provided the original work is properly cited.
The license is subject to the Beilstein Journal of Organic Chemistry terms and conditions: (http://www.beilstein-journals.org/bjoc)
![[Graphic 1]](/bjoc/content/inline/1860-5397-8-4-i6.png?max-width=637&scale=1.0)
![[Graphic 2]](/bjoc/content/inline/1860-5397-8-4-i7.png?max-width=637&scale=1.0)
![[Graphic 3]](/bjoc/content/inline/1860-5397-8-4-i8.png?max-width=637&scale=1.0)
![[Graphic 4]](/bjoc/content/inline/1860-5397-8-4-i9.png?max-width=637&scale=1.0)
![[Graphic 5]](/bjoc/content/inline/1860-5397-8-4-i10.png?max-width=637&scale=1.0)
![[Graphic 6]](/bjoc/content/inline/1860-5397-8-4-i11.png?max-width=637&scale=1.0)