Abstract
A facile and efficient synthetic protocol for the synthesis of α-amino amidines has been developed using a molecular iodine-catalyzed three-component coupling reaction of isocyanides, amines, and aldehydes. The presented strategy offers the advantages of mild reaction conditions, low environmental impact, clean and simple methodology, high atom economy, wide substrate scope and high yields.
Graphical Abstract
Introduction
Amidines are a class of organic compounds exhibiting a variety of biological activity that makes them potential candidates for drug development and discovery [1-5]. Simple amidines are generally synthesized from their corresponding nitriles either by the Pinner reaction [6] or by the thioimidate route [7]. Recently, much attention was given to the development of new routes for the synthesis of substituted amidines [8-11]. Even if these methods provide amidines in acceptable yields, they suffer from limitations such as limited structural diversity of the final products. Since multicomponent reactions (MCRs) are expected to provide a rich structural diversity, much attention was paid on the development of multicomponent-coupling strategies for the synthesis of amidines.
The Ugi reaction is probably one of the best multicomponent reactions to provide huge structural diversification of the products [12]. Thus, several modifications of the Ugi reaction were explored recently. As depicted in Figure 1, diamides, α-amino amides, and α-amino amidines can be obtained depending on the nucleophile used. However, the reaction does not lead to acceptable product yields of products without using proper catalysts except when the nucleophile is carboxylate. For instance, among various catalysts screened, only phosphinic acid and boric acid were found suitable for conversion of substrates into products when water was used as a nucleophile for amide preparations [13,14]. In the direction of amidine synthesis using isocyanide MCRs, a few catalysts such as p-toluenesulfinic acid [15], metal triflates [16], bromodimethylsulfonium bromide [17], ZnO nanoparticles [18] and BF3·OEt2 [19] were reported with varying degrees of success. All these reported methods for the preparation of α-amino amidines have their own limitations such as long reaction times, high catalyst loading and use of expensive and hazardous metal catalysts. Therefore, the development of a mild, inexpensive and efficient catalytic protocol for the amidine synthesis is highly needed.
Figure 1: Synthesis of diamides, α-amino amides [13,14] and α-amino amidines [15-19] through Ugi and related MCRs.
Figure 1: Synthesis of diamides, α-amino amides [13,14] and α-amino amidines [15-19] through Ugi and related MCRs.
Iodine is expected to act as a Lewis acid or Brønsted acid in methanol [20]. Apart from oxidation, catalytic iodine provides mild and efficient ways for the formation of C–C and C–N bonds [20]. As a part of our ongoing interest towards the synthesis of new molecular libraries [21-24], we were interested in developing a one-pot MCR strategy for the synthesis of amidines.
Results and Discussion
To check the feasibility of the iodine-catalyzed amidine synthesis through the modified Ugi reaction, we carried out a model reaction of tert-butyl isocyanide (1 mmol), benzaldehyde (1 mmol), and aniline (2 mmol) using 5 mol % of molecular iodine in methanol (Table 1). The reaction worked well at ambient temperature and led to good yields of 4a. Among various solvents screened, methanol was found to be the best choice as solvent for the reaction. Furthermore, we observed that the catalyst loading could be reduced to 1 mol % without affecting the product yield. Further decreasing the amount of catalyst (0.5 mol %) still lead to a good yield of 4a, albeit with a longer reaction time (Table 1, entry 5). It was interesting to notice a significant decrease in the product yield when the catalyst was overloaded (Table 1, entries 6 and 7). When the reaction was carried out without catalyst (iodine), no product was observed (Table 1, entry 11). This observation confirmed that catalytic iodine is necessary for the success of the reaction.
Table 1: Synthesis of α-amino amidine 4a through a three-component coupling of benzaldehyde, aniline, and tert-butyl isocyanide.a
|
||||
| Entry | Catalyst (I2) | Solvent | Time (h) | Yield of 4a (%)b |
|---|---|---|---|---|
| 1 | 5 mol % | methanol | 2 | 90 |
| 2 | 2 mol % | methanol | 2 | 91 |
| 3 | 1 mol % | methanol | 2 | 90 |
| 4 | 0.5 mol % | methanol | 2 | 78 |
| 5 | 0.5 mol % | methanol | 6 | 88 |
| 6 | 10 mol % | methanol | 2 | 85 |
| 7 | 20 mol % | methanol | 2 | 70 |
| 8 | 1 mol % | ethanol | 2 | 85 |
| 9 | 1 mol % | acetonitrile | 2 | 78 |
| 10 | 1 mol % | THF | 2 | 72 |
| 11 | none | methanol | 24 | 0 |
aComposition of reaction mixture: Benzaldehyde (1 mmol), aniline (2 mmol), tert-butyl isocyanide (1 mmol), solvent (5 mL), I2, rt, stirring. bIsolated yields which are not optimized.
Next we studied the substrate compatibility of the reaction to generalize the scope of the α-amino amidine synthesis (Table 2). Aliphatic, aromatic and heteroaromatic aldehydes were used with similar success leading to high yields of amidines. It is worth to note here that aldehydes containing an alkyne moiety yielded the corresponding amidines with similar success (Table 2, entries 17 and 18). With aromatic amines, the reaction was good; with aliphatic amines (for instance benzylamine) the reaction was sluggish and the desired amidine was not obtained. The reaction worked well with a variety of isocyanides such as tert-butyl isocyanide, cyclohexyl isocyanide, and more importantly with functional groups bearing isocyanides such as ethyl isocyanoacetate and p-toluenesulfonylmethyl isocyanide (p-TosMIC) (Table 2, entries 19 and 20). Thus, the diversification of the α-amino amidine was achieved by varying the aldehyde, aromatic amine and isocyanide components of the reaction. The iodine-catalyzed protocol gave better yields (75–93%) of amidines than a recently reported p-toluenesulfinic acid [15] catalyzed protocol (52–71%). In contrary to the p-toluenesulfinic acid-catalyzed protocol, the formation of byproducts (α-amino amides) was suppressed in our iodine-catalyzed protocol which gave rise to better yields and cleaner products. When compared with other related reports [16-19], our iodine-catalyzed protocol gave similar yields of α-amino amidines. However, it should be emphasized that our protocol with low catalyst loading (1 mol %) makes it a cleaner and lower environmental impact methodology to access α-amino amidines.
Table 2: Scope of the α-amino amidine synthesis through three-component coupling of aldehyde, amine, and isocyanide.a
|
|||||
| Entry | R | R1 | R2 | Product | Yield of product (%)b |
|---|---|---|---|---|---|
| 1 | C6H5 | C6H5 | (CH3)3C | 4a | 90 |
| 2 | C6H5 | C6H5 | c-C6H11 | 4b | 93 |
| 3 | 2-Br-C6H4 | C6H5 | (CH3)3C | 4c | 85 |
| 4 | c-C6H11 | C6H5 | c-C6H11 | 4d | 86 |
| 5 | n-C8H17 | C6H5 | c-C6H11 | 4e | 88 |
| 6 | 4-Cl-C6H4 | C6H5 | c-C6H11 | 4f | 88 |
| 7 | 2-Furyl | C6H5 | (CH3)3C | 4g | 90 |
| 8 | c-C6H11 | C6H5 | (CH3)3C | 4h | 90 |
| 9 | n-C8H17 | C6H5 | (CH3)3C | 4i | 87 |
| 10 | 4-F-C6H4 | C6H5 | (CH3)3C | 4j | 88 |
| 11 | 4-Cl-C6H4 | C6H5 | (CH3)3C | 4k | 85 |
| 12 | 4-Cl-C6H4 | 4-CH3O-C6H4 | (CH3)3C | 4l | 90 |
| 13 | C6H5 | 4-CH3-C6H4 | (CH3)3C | 4m | 86 |
| 14 | 4-F-C6H4 | 4-CH3-C6H4 | (CH3)3C | 4n | 92 |
| 15 | n-C3H7 | 4-CH3-C6H4 | (CH3)3C | 4o | 91 |
| 16 | c-C6H11 | 4-CH3-C6H4 | (CH3)3C | 4p | 83 |
| 17 |
|
C6H5 | (CH3)3C | 4q | 85 |
| 18 |
|
C6H5 | (CH3)3C | 4r | 77 |
| 19 | 3,4,5-(MeO)3-C6H2 | C6H5 | EtOOCCH2 | 4s | 75 |
| 20 | 3,4,5-(MeO)3-C6H2 | C6H5 | p-TolSO2CH2 | 4t | 79 |
aAldehyde (1 mmol), amine (2 mmol), isocyanide (1 mmol), iodine 1 mol %, methanol (5 mL), rt, stirring, 2 h. bIsolated yield which is not optimized.
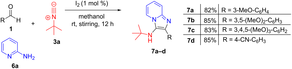
Then, we tried the three-component reaction using heteroaromatic amines such as 2-aminopyridine, 3-aminopyridine and 4-aminopyridine. The desired products (amidines) were not obtained with 3-aminopyridine and 4-aminopyridine. However, we found that iodine can efficiently catalyze the three-component coupling reaction of 2-aminopyridine, aldehyde and isocyanide (Groebke–Blackburn–Bienaymé reaction) (Figure 2) [25-27]. Recently, catalytic iodine (10 mol %) was found to give good yields of imidazolopyridine in a three-component reaction of 2-amino-5-chloropyridine, isocyanide, and aldehydes under reflux conditions [28]. However, we found that the similar reaction using 2-amonopyridine could be performed at ambient temperature using 1 mol % of iodine as catalyst to achieve a satisfactory yield of product (82–85%).
Figure 2: Synthesis of imidazolopyridines 7a–d through a three-component coupling reaction of substituted benzaldehydes, 2-aminopyridine, and tert-butyl isocyanide using 1 mol % iodine as catalyst.
Figure 2: Synthesis of imidazolopyridines 7a–d through a three-component coupling reaction of substituted ben...
A probable mechanistic pathway for the formation of α-amino amidines is outlined in Figure 3 which is analogous to the established mechanism reported in the literature [28,29]. Iodine can serve as a catalyst for the activation of imine. The attack of nucleophilic isocyanide on the activated imine leads to the formation of intermediate 8 or 8’. Subsequently, another molecule of amine attacks the intermediate 8 or 8’ to give α-amino amidine 9 which undergoes further [1,3]-hydrogen shift to provide the α-amino amidines 4 [17].
Figure 3: A plausible reaction mechanism for the iodine-catalyzed α-amino amidine synthesis.
Figure 3: A plausible reaction mechanism for the iodine-catalyzed α-amino amidine synthesis.
Conclusion
In conclusion, we have developed a simple and clean methodology for the synthesis of substituted α-amino amidines using a three-component coupling of isocyanide, aldehyde, and aromatic amines with molecular iodine as a catalyst. The current strategy provides elegant access to α-amino amidine and imidazolopyridines in high yield with significantly low catalyst loading.
Experimental
A 25 mL round bottom flask was filled with aldehyde (1 mmol), amine (2 mmol)/2-aminopyridine (1 mmol), isocyanide (1 mmol) and MeOH (5 mL). Then, I2 (1 mol %) was added and the reaction mixture was stirred until the reaction was completed (TLC). The reaction mixture was evaporated to dryness using a rotary evaporator and the residue was purified by silica-gel column chromatography using a mixture of ethyl acetate/hexane as eluent in increasing polarity.
Supporting Information
General information, general experimental procedure, characterization data of the synthesized compounds, and copies of 1H and 13C NMR spectra are given in Supporting Information File 1.
| Supporting Information File 1: Experimental data. | ||
| Format: PDF | Size: 1.2 MB | Download |
References
-
Dyatkina, N. B.; Roberts, C. D.; Keicher, J. D.; Dai, Y.; Nadherny, J. P.; Zhang, W.; Schmitz, U.; Kongpachith, A.; Fung, K.; Novikov, A. A.; Lou, L.; Velligan, M.; Khorlin, A. A.; Chen, M. S. J. Med. Chem. 2002, 45, 805–817. doi:10.1021/jm010375a
Return to citation in text: [1] -
Causey, C. P.; Jones, J. E.; Slack, J. L.; Kamei, D.; Jones, J. E., Jr.; Subramanian, V.; Knuckley, B.; Ebrahimi, P.; Chumanevich, A. A.; Luo, Y.; Hashimoto, H.; Sato, M.; Hofseth, L. J.; Thompson, P. R. J. Med. Chem. 2011, 54, 6919–6935. doi:10.1021/jm2008985
Return to citation in text: [1] -
Marzano, C.; Sbovata, S. M.; Gandin, V.; Colavito, D.; Giudice, E. D.; Michelin, R. A.; Venzo, A.; Seraglia, R.; Benetollo, F.; Schiavon, M.; Bertani, R. J. Med. Chem. 2010, 53, 6210–6227. doi:10.1021/jm1006534
Return to citation in text: [1] -
Arafa, R. K.; Brun, R.; Wenzler, T.; Tanious, F. A.; Wilson, W. D.; Stephens, C. E.; Boykin, D. W. J. Med. Chem. 2005, 48, 5480–5488. doi:10.1021/jm058190h
Return to citation in text: [1] -
Hallinan, E. A.; Hagen, T. J.; Bergmanis, A.; Moore, W. M.; Jerome, G. M.; Spangler, D. P.; Stevens, A. M.; Shieh, H. S.; Manning, P. T.; Pitzele, B. S. J. Med. Chem. 2004, 47, 900–906. doi:10.1021/jm030348f
Return to citation in text: [1] -
Barber, H. J.; Slack, R. J. Am. Chem. Soc. 1944, 66, 1607. doi:10.1021/ja01237a502
Return to citation in text: [1] -
Zablocki, J. A.; Miyano, M.; Garland, R. B.; Pireh, D.; Schretzman, L.; Rao, S. N.; Lindmark, R. J.; Panzer-Knodle, S. G.; Nicholson, N. S.; Taite, B. B.; Salyers, A. K.; King, L. W.; Campion, J. G.; Feigen, L. P. J. Med. Chem. 1993, 36, 1811–1819. doi:10.1021/jm00065a003
Return to citation in text: [1] -
Harjani, J. R.; Liang, C.; Jessop, P. G. J. Org. Chem. 2011, 76, 1683–1691. doi:10.1021/jo102358d
Return to citation in text: [1] -
Gao, T.; Zhao, M.; Meng, X.; Li, C.; Chen, B. Synlett 2011, 1281–1284. doi:10.1055/s-0030-1260548
Return to citation in text: [1] -
Wang, J.; Xu, F.; Shen, Q. Org. Lett. 2008, 10, 445–448. doi:10.1021/ol702739c
Return to citation in text: [1] -
Bae, I.; Han, H.; Chang, S. J. Am. Chem. Soc. 2005, 127, 2038–2039. doi:10.1021/ja0432968
Return to citation in text: [1] -
Dömling, A. Chem. Rev. 2006, 106, 17–89. doi:10.1021/cr0505728
Return to citation in text: [1] -
Pan, S. C.; List, B. Angew. Chem., Int. Ed. 2008, 47, 3622–3625. doi:10.1002/anie.200800494
Return to citation in text: [1] [2] -
Kumar, A.; Saxena, D.; Gupta, M. K. RSC Adv. 2013, 3, 4610–4612. doi:10.1039/c3ra23087b
Return to citation in text: [1] [2] -
Saha, B.; Frett, B.; Wang, Y.; Li, H.-y. Tetrahedron Lett. 2013, 54, 2340–2343. doi:10.1016/j.tetlet.2013.02.055
Return to citation in text: [1] [2] [3] -
Keung, W.; Bakir, F.; Patron, A. P.; Rogers, D.; Priest, C. D.; Darmohusodo, V. Tetrahedron Lett. 2004, 45, 733–737. doi:10.1016/j.tetlet.2003.11.051
Return to citation in text: [1] [2] [3] -
Khan, A. T.; Siddick, B. R.; Lal, M.; Mir, M. H. RSC Adv. 2012, 2, 5506–5509. doi:10.1039/c2ra20539d
Return to citation in text: [1] [2] [3] [4] -
Kumar, A.; Saxena, D.; Gupta, M. K. Green Chem. 2013, 15, 2699–2703. doi:10.1039/c3gc41101j
Return to citation in text: [1] [2] [3] -
Sharma, S.; Maurya, R. A.; Min, K.-I.; Jeong, G.-Y.; Kim, D.-P. Angew. Chem., Int. Ed. 2013, 52, 7564–7568. doi:10.1002/anie.201303213
Return to citation in text: [1] [2] [3] -
Togo, H.; Iida, S. Synlett 2006, 2159–2175. doi:10.1055/s-2006-950405
See for a review over synthetic applications of molecular iodine.
Return to citation in text: [1] [2] -
Maurya, R. A.; Kapure, J. S.; Adiyala, P. R.; Srikanth, P. S.; Chandrasekhar, D.; Kamal, A. RSC Adv. 2013, 3, 15600–15603. doi:10.1039/c3ra42374c
Return to citation in text: [1] -
Maurya, R. A.; Reddy, C. N.; Mani, G. S.; Kapure, J. S.; Adiyala, P. R.; Nanubolu, J. B.; Singarapu, K. K.; Kamal, A. Tetrahedron 2014, 70, 4709–4717. doi:10.1016/j.tet.2014.05.065
Return to citation in text: [1] -
Maurya, R. A.; Adiyala, P. R.; Chandrasekhar, D.; Reddy, C. N.; Kapure, J. S.; Kamal, A. ACS Comb. Sci. 2014, 16. doi:10.1021/co500070e
Return to citation in text: [1] -
Maurya, R. A.; Nayak, R.; Reddy, C. N.; Kapure, J. S.; Nanubolu, J. B.; Singarapu, K. K.; Ajitha, M.; Kamal, A. RSC Adv. 2014, 4, 32303–32311. doi:10.1039/C4RA03508A
Return to citation in text: [1] -
Groebke, K.; Weber, L.; Mehlin, F. Synlett 1998, 661–663. doi:10.1055/s-1998-1721
Return to citation in text: [1] -
Bienaymé, H.; Bouzid, K. Angew. Chem., Int. Ed. 1998, 37, 2234–2237. doi:10.1002/(SICI)1521-3773(19980904)37:16<2234::AID-ANIE2234>3.0.CO;2-R
Return to citation in text: [1] -
Blackburn, C.; Guan, B.; Fleming, P.; Shiosaki, K.; Tsai, S. Tetrahedron Lett. 1998, 39, 3635–3638. doi:10.1016/S0040-4039(98)00653-4
Return to citation in text: [1] -
Puttaraju, K. B.; Shivashankar, K. RSC Adv. 2013, 3, 20883–20890. doi:10.1039/c3ra43407a
Return to citation in text: [1] [2] -
Lu, L.; Zhang, M.-M.; Jiang, H.; Wang, X.-S. Tetrahedron Lett. 2013, 54, 757–760. doi:10.1016/j.tetlet.2012.11.042
Return to citation in text: [1]
| 25. | Groebke, K.; Weber, L.; Mehlin, F. Synlett 1998, 661–663. doi:10.1055/s-1998-1721 |
| 26. | Bienaymé, H.; Bouzid, K. Angew. Chem., Int. Ed. 1998, 37, 2234–2237. doi:10.1002/(SICI)1521-3773(19980904)37:16<2234::AID-ANIE2234>3.0.CO;2-R |
| 27. | Blackburn, C.; Guan, B.; Fleming, P.; Shiosaki, K.; Tsai, S. Tetrahedron Lett. 1998, 39, 3635–3638. doi:10.1016/S0040-4039(98)00653-4 |
| 15. | Saha, B.; Frett, B.; Wang, Y.; Li, H.-y. Tetrahedron Lett. 2013, 54, 2340–2343. doi:10.1016/j.tetlet.2013.02.055 |
| 16. | Keung, W.; Bakir, F.; Patron, A. P.; Rogers, D.; Priest, C. D.; Darmohusodo, V. Tetrahedron Lett. 2004, 45, 733–737. doi:10.1016/j.tetlet.2003.11.051 |
| 17. | Khan, A. T.; Siddick, B. R.; Lal, M.; Mir, M. H. RSC Adv. 2012, 2, 5506–5509. doi:10.1039/c2ra20539d |
| 18. | Kumar, A.; Saxena, D.; Gupta, M. K. Green Chem. 2013, 15, 2699–2703. doi:10.1039/c3gc41101j |
| 19. | Sharma, S.; Maurya, R. A.; Min, K.-I.; Jeong, G.-Y.; Kim, D.-P. Angew. Chem., Int. Ed. 2013, 52, 7564–7568. doi:10.1002/anie.201303213 |
| 1. | Dyatkina, N. B.; Roberts, C. D.; Keicher, J. D.; Dai, Y.; Nadherny, J. P.; Zhang, W.; Schmitz, U.; Kongpachith, A.; Fung, K.; Novikov, A. A.; Lou, L.; Velligan, M.; Khorlin, A. A.; Chen, M. S. J. Med. Chem. 2002, 45, 805–817. doi:10.1021/jm010375a |
| 2. | Causey, C. P.; Jones, J. E.; Slack, J. L.; Kamei, D.; Jones, J. E., Jr.; Subramanian, V.; Knuckley, B.; Ebrahimi, P.; Chumanevich, A. A.; Luo, Y.; Hashimoto, H.; Sato, M.; Hofseth, L. J.; Thompson, P. R. J. Med. Chem. 2011, 54, 6919–6935. doi:10.1021/jm2008985 |
| 3. | Marzano, C.; Sbovata, S. M.; Gandin, V.; Colavito, D.; Giudice, E. D.; Michelin, R. A.; Venzo, A.; Seraglia, R.; Benetollo, F.; Schiavon, M.; Bertani, R. J. Med. Chem. 2010, 53, 6210–6227. doi:10.1021/jm1006534 |
| 4. | Arafa, R. K.; Brun, R.; Wenzler, T.; Tanious, F. A.; Wilson, W. D.; Stephens, C. E.; Boykin, D. W. J. Med. Chem. 2005, 48, 5480–5488. doi:10.1021/jm058190h |
| 5. | Hallinan, E. A.; Hagen, T. J.; Bergmanis, A.; Moore, W. M.; Jerome, G. M.; Spangler, D. P.; Stevens, A. M.; Shieh, H. S.; Manning, P. T.; Pitzele, B. S. J. Med. Chem. 2004, 47, 900–906. doi:10.1021/jm030348f |
| 20. |
Togo, H.; Iida, S. Synlett 2006, 2159–2175. doi:10.1055/s-2006-950405
See for a review over synthetic applications of molecular iodine. |
| 8. | Harjani, J. R.; Liang, C.; Jessop, P. G. J. Org. Chem. 2011, 76, 1683–1691. doi:10.1021/jo102358d |
| 9. | Gao, T.; Zhao, M.; Meng, X.; Li, C.; Chen, B. Synlett 2011, 1281–1284. doi:10.1055/s-0030-1260548 |
| 10. | Wang, J.; Xu, F.; Shen, Q. Org. Lett. 2008, 10, 445–448. doi:10.1021/ol702739c |
| 11. | Bae, I.; Han, H.; Chang, S. J. Am. Chem. Soc. 2005, 127, 2038–2039. doi:10.1021/ja0432968 |
| 21. | Maurya, R. A.; Kapure, J. S.; Adiyala, P. R.; Srikanth, P. S.; Chandrasekhar, D.; Kamal, A. RSC Adv. 2013, 3, 15600–15603. doi:10.1039/c3ra42374c |
| 22. | Maurya, R. A.; Reddy, C. N.; Mani, G. S.; Kapure, J. S.; Adiyala, P. R.; Nanubolu, J. B.; Singarapu, K. K.; Kamal, A. Tetrahedron 2014, 70, 4709–4717. doi:10.1016/j.tet.2014.05.065 |
| 23. | Maurya, R. A.; Adiyala, P. R.; Chandrasekhar, D.; Reddy, C. N.; Kapure, J. S.; Kamal, A. ACS Comb. Sci. 2014, 16. doi:10.1021/co500070e |
| 24. | Maurya, R. A.; Nayak, R.; Reddy, C. N.; Kapure, J. S.; Nanubolu, J. B.; Singarapu, K. K.; Ajitha, M.; Kamal, A. RSC Adv. 2014, 4, 32303–32311. doi:10.1039/C4RA03508A |
| 7. | Zablocki, J. A.; Miyano, M.; Garland, R. B.; Pireh, D.; Schretzman, L.; Rao, S. N.; Lindmark, R. J.; Panzer-Knodle, S. G.; Nicholson, N. S.; Taite, B. B.; Salyers, A. K.; King, L. W.; Campion, J. G.; Feigen, L. P. J. Med. Chem. 1993, 36, 1811–1819. doi:10.1021/jm00065a003 |
| 15. | Saha, B.; Frett, B.; Wang, Y.; Li, H.-y. Tetrahedron Lett. 2013, 54, 2340–2343. doi:10.1016/j.tetlet.2013.02.055 |
| 16. | Keung, W.; Bakir, F.; Patron, A. P.; Rogers, D.; Priest, C. D.; Darmohusodo, V. Tetrahedron Lett. 2004, 45, 733–737. doi:10.1016/j.tetlet.2003.11.051 |
| 17. | Khan, A. T.; Siddick, B. R.; Lal, M.; Mir, M. H. RSC Adv. 2012, 2, 5506–5509. doi:10.1039/c2ra20539d |
| 18. | Kumar, A.; Saxena, D.; Gupta, M. K. Green Chem. 2013, 15, 2699–2703. doi:10.1039/c3gc41101j |
| 19. | Sharma, S.; Maurya, R. A.; Min, K.-I.; Jeong, G.-Y.; Kim, D.-P. Angew. Chem., Int. Ed. 2013, 52, 7564–7568. doi:10.1002/anie.201303213 |
| 6. | Barber, H. J.; Slack, R. J. Am. Chem. Soc. 1944, 66, 1607. doi:10.1021/ja01237a502 |
| 20. |
Togo, H.; Iida, S. Synlett 2006, 2159–2175. doi:10.1055/s-2006-950405
See for a review over synthetic applications of molecular iodine. |
| 17. | Khan, A. T.; Siddick, B. R.; Lal, M.; Mir, M. H. RSC Adv. 2012, 2, 5506–5509. doi:10.1039/c2ra20539d |
| 19. | Sharma, S.; Maurya, R. A.; Min, K.-I.; Jeong, G.-Y.; Kim, D.-P. Angew. Chem., Int. Ed. 2013, 52, 7564–7568. doi:10.1002/anie.201303213 |
| 17. | Khan, A. T.; Siddick, B. R.; Lal, M.; Mir, M. H. RSC Adv. 2012, 2, 5506–5509. doi:10.1039/c2ra20539d |
| 16. | Keung, W.; Bakir, F.; Patron, A. P.; Rogers, D.; Priest, C. D.; Darmohusodo, V. Tetrahedron Lett. 2004, 45, 733–737. doi:10.1016/j.tetlet.2003.11.051 |
| 13. | Pan, S. C.; List, B. Angew. Chem., Int. Ed. 2008, 47, 3622–3625. doi:10.1002/anie.200800494 |
| 14. | Kumar, A.; Saxena, D.; Gupta, M. K. RSC Adv. 2013, 3, 4610–4612. doi:10.1039/c3ra23087b |
| 15. | Saha, B.; Frett, B.; Wang, Y.; Li, H.-y. Tetrahedron Lett. 2013, 54, 2340–2343. doi:10.1016/j.tetlet.2013.02.055 |
| 28. | Puttaraju, K. B.; Shivashankar, K. RSC Adv. 2013, 3, 20883–20890. doi:10.1039/c3ra43407a |
| 13. | Pan, S. C.; List, B. Angew. Chem., Int. Ed. 2008, 47, 3622–3625. doi:10.1002/anie.200800494 |
| 14. | Kumar, A.; Saxena, D.; Gupta, M. K. RSC Adv. 2013, 3, 4610–4612. doi:10.1039/c3ra23087b |
| 18. | Kumar, A.; Saxena, D.; Gupta, M. K. Green Chem. 2013, 15, 2699–2703. doi:10.1039/c3gc41101j |
| 28. | Puttaraju, K. B.; Shivashankar, K. RSC Adv. 2013, 3, 20883–20890. doi:10.1039/c3ra43407a |
| 29. | Lu, L.; Zhang, M.-M.; Jiang, H.; Wang, X.-S. Tetrahedron Lett. 2013, 54, 757–760. doi:10.1016/j.tetlet.2012.11.042 |
© 2014 Adiyala et al; licensee Beilstein-Institut.
This is an Open Access article under the terms of the Creative Commons Attribution License (http://creativecommons.org/licenses/by/2.0), which permits unrestricted use, distribution, and reproduction in any medium, provided the original work is properly cited.
The license is subject to the Beilstein Journal of Organic Chemistry terms and conditions: (http://www.beilstein-journals.org/bjoc)
![[Graphic 1]](/bjoc/content/inline/1860-5397-10-214-i1.png?max-width=637&scale=1.0)
![[Graphic 2]](/bjoc/content/inline/1860-5397-10-214-i2.png?max-width=637&scale=1.0)
![[Graphic 3]](/bjoc/content/inline/1860-5397-10-214-i3.png?max-width=637&scale=1.0)
![[Graphic 4]](/bjoc/content/inline/1860-5397-10-214-i4.png?max-width=637&scale=1.0)