Get a better glimpse on sequential photoreactions of trisnorbornadienes with 19F NMR spectroscopy
,
,
and
Julian Felix Maria Hebborn
Department of Chemistry-Biology, and Research Center of Micro- and Nanochemistry and (Bio-)Technology (Cμ), University of Siegen, Adolf-Reichwein-Str. 2, 57068 Siegen, Germany
Department of Chemistry-Biology, and Research Center of Micro- and Nanochemistry and (Bio-)Technology (Cμ), University of Siegen, Adolf-Reichwein-Str. 2, 57068 Siegen, Germany
Department of Chemistry-Biology, and Research Center of Micro- and Nanochemistry and (Bio-)Technology (Cμ), University of Siegen, Adolf-Reichwein-Str. 2, 57068 Siegen, Germany
Department of Chemistry-Biology, and Research Center of Micro- and Nanochemistry and (Bio-)Technology (Cμ), University of Siegen, Adolf-Reichwein-Str. 2, 57068 Siegen, Germany
Department of Chemistry-Biology, and Research Center of Micro- and Nanochemistry and (Bio-)Technology (Cμ), University of Siegen, Adolf-Reichwein-Str. 2, 57068 Siegen, Germany
Guest Editor: H. A. Wegner Beilstein J. Org. Chem.2026,22, 527–534.https://doi.org/10.3762/bjoc.22.38 Received 19 Jan 2026,
Accepted 12 Mar 2026,
Published 23 Mar 2026
It is shown exemplarily with a trifluorinated trisnorbornadienylbenzene that 19F NMR spectroscopy may be applied as a useful complementary method for the investigation of sequential photoreactions. The trisnorbornadiene core structure was used as it figures as promising scaffold for molecular solar thermal (MOST) energy storage. The target compound was readily synthesized by a Suzuki–Miyaura coupling reaction and examined with respect to the key properties for MOST applications. Upon direct or photosensitized irradiation, the trisnorbornadiene was transformed stepwise and almost quantitatively into the corresponding trisquadricyclane. Even though the reaction can be monitored by photometry or by in situ 1H NMR spectroscopy, unambiguous assignment of the distinct intermediate mono- and bisquadricyclanes was not possible because of signal overlap. In contrast, this shortcoming is circumvented with in situ 19F NMR-spectroscopic analysis. Contrary to the 1H NMR spectra, the 19F NMR spectra show significantly fewer characteristic and sufficiently separated signals that allow the unambiguous identification of all photoproducts and, thus, their detection in the course of the photoreaction.
Photochromic compounds, which change their physical and chemical properties reversibly upon irradiation, figure as a versatile basis for the development of functional materials, whose performance can be switched or controlled by light [1-4]. To add to that, the photochromic reaction allows to convert the energy of the applied light into chemical energy, which can thus be stored and eventually released on demand as heat in the back reaction. Therefore, photochromic reactions constitute the centerpiece of the emerging approach towards molecular solar thermal (MOST) energy storage [5-8]. In this context, norbornadienes are employed as well established photoswitches because they provide several favorable photochemical and physicochemical properties [9,10]. In a photochromic intramolecular [2 + 2] cycloaddition reaction, these compounds are transformed into an energy-rich metastable photoproduct that, upon application of an external stimulus, isomerizes back in a cycloreversion reaction to the starting compound with the release of heat (Scheme 1) [5,7]. In comparison with other photochromic compounds (e.g., azobenzenes [11,12], anthracenes [13-15], stilbenes [16,17], and bicyclooctadienes [18,19]), the photoisomers of norbornadienes, namely quadricyclanes, stand out with their high energy density, with the parent compound 2a providing a ΔH value of 966 kJ/kg [20-23] and a half-life of the more than 14 h [24]. At the same time, however, norbornadiene (1a) has also some major drawbacks with regard to a real MOST application, namely minimal overlap of the absorption spectrum (λonset < 300 nm) [25-28] with the solar emission spectrum as well as a low quantum yield (Ф = 5%) [26,27].
Scheme 1:
Photochromic reaction of norbornadiene (1a) and quadricyclane (2a) and selected physicochemical properties; λonset = low-energy zero onset of absorption of 1a; t1/2 = half-life of 2a; ΔH = reaction enthalpy of the cycloreversion of 2a.
Scheme 1:
Photochromic reaction of norbornadiene (1a) and quadricyclane (2a) and selected physicochemical pro...
In order to optimize the photophysical and physicochemical properties of norbornadiene (1a) with minimal impact on the energy density, scaffolds with multiple norbornadiene units have been investigated with the goal to accomplish higher energy storage density per molecule [20-22,29-33]. Furthermore, to shift the absorption towards lower-energy light in such compounds – and for that matter to the solar spectrum – push–pull systems [29,31], enlarged π systems [30,33], and heteroaromatic chromophores [32,34,35] have been introduced (Figure 1). Although this structural variation often leads to a red-shifted absorption, the half-lives of the corresponding quadricyclanes are often decreased at the same time. In particular, the addition of an acetylene unit between the linking aromatic part and the norbornadiene often leads to short half-lives [29-31].
Figure 1:
Structures and MOST parameters of representative bis- and trisnorbornadienes 1b–d; t1/2 = half-life determined at 25 °C; n.d. = not determined.
Figure 1:
Structures and MOST parameters of representative bis- and trisnorbornadienes 1b–d; t1/2 = half-life...
As arene-linked bis- and trisnorbornadienes are promising lead structures for further development of more efficient MOST materials, a detailed investigation of the photochemical reactions is necessary. However, such studies of multichromophore photoreactions are often difficult, because the distinct reaction steps are not necessarily consecutive and may not be readily dissected. Furthermore, as the reaction intermediates are isomers with mainly similar structural fragments, it is difficult to distinguish them by the usually employed spectroscopic methods because of overlapping signals [22,30,33]. Along these lines, 1H NMR spectroscopy is a very useful method to follow the photoreaction, ideally upon direct irradiation in the NMR probehead (in situ NMR), because it potentially enables accurate structure elucidation. But even though this method may enable the accurate monitoring of a stepwise photochromic reaction of multichromophores in some cases [36,37], significant overlap of NMR signals often interferes with the detailed identification of separate components. Therefore, we proposed that the analysis of the photoreaction of a fluorinated starting material with in situ 19F NMR spectroscopy may add a useful complementary tool [38-41]. Firstly, the 19F nucleus is only slightly less sensitive for NMR spectroscopy than the 1H nucleus [42]. Additionally, fluoro substituents may be attached such that they will give well-separated signals in less complex spectra, thus allowing conclusive and quantitative product identification [38-40]. Herein, we will show in a proof-of-principle study with a fluorinated trisnorbornadiene derived from promising lead compound 1b that in situ 19F NMR spectroscopy may indeed be used to monitor sequential photoreactions of multichromophoric systems.
Results
The trisnorbornadiene 1f was synthesized in 36% yield through a Suzuki–Miyaura coupling reaction of tribromotrifluorobenzene 3 with the 2-borononorbornadiene 1e (Scheme 2) [43]. The product 1f was identified and fully characterized by NMR spectroscopy (1H, 13C, 19F, COSY, HSQC, HMBC), mass spectrometry, melting point, and elemental analysis. Norbornadiene 1f is well soluble in alkanes, chlorinated and aromatic solvents, whereas it is hardly soluble in polar protic solvents and MeCN and insoluble in water.
Scheme 2:
Synthesis and photochromic reaction of trisnorbornadiene 1f to the trisquadricyclane 2f0,3 (numbering of quadricyclanes 2fm,n: m = number of norbornadiene units, n = number of quadricyclane units).
Scheme 2:
Synthesis and photochromic reaction of trisnorbornadiene 1f to the trisquadricyclane 2f0,3 (numberi...
The absorption spectra of 1f were recorded in MeCN, cyclohexane, MeOH, ethyl acetate, THF, CH2Cl2, CHCl3, and benzene (see Supporting Information File 1, Figure S1). The absorption spectra have essentially the same key features, specifically absorption maxima at around 209 nm, 240 nm, and 273 nm, with a long-wavelength absorption onset at 350 nm. Both maxima and onset absorptions are hypsochromically shifted compared with the ones of the parent compound 1b[22].
The [2 + 2] photocycloaddition reaction of 1f was initiated by direct irradiation with 315 nm. The photoreaction was significantly slower (4 h to achieve photostationary state) compared with the one of the parent compound 1b (0.5 h) [22]. Monitoring the photoreaction by absorption spectroscopy revealed the formation of a new maximum at 235 nm with no discernible isosbestic points, clearly indicating the presence of more than two differently absorbing compounds (Figure 2). In addition, the examination of the photoreaction with 1H NMR spectroscopy showed that the quadricyclane 2f0,3 was formed almost quantitatively as the photoproduct (>95%) (see Supporting Information File 1, Figure S11).
Figure 2:
Photometric monitoring of the photoreaction of 1f in MeCN (c = 20 µM) at λex = 315 nm. Inset: plot of absorption at 273 nm versus reaction time.
Figure 2:
Photometric monitoring of the photoreaction of 1f in MeCN (c = 20 µM) at λex = 315 nm. Inset: plot ...
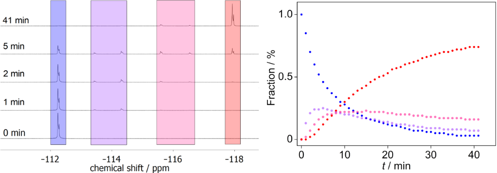
The photosensitized reaction in the presence of Ir(ppy)3 also afforded quadricyclane 2f0,3 in almost quantitative yield (>95%), as shown by 1H NMR spectroscopy (see Supporting Information File 1, Figure S10). The photosensitized reaction in the presence of Ir(ppy)3 or 1-butyl-7,8-dimethoxy-3-methylalloxazin (4) as an alternative catalyst [44,45] with λex = 405 nm (LED) was investigated by in situ 1H NMR spectroscopy. In both cases, the photoreaction was almost quantitative (see Supporting Information File 1, Figures S13 and S14). To gain more information about the course of the photoreaction and sequential formation of intermediates, the photoreaction of 1f, catalyzed by flavin 4, was investigated with in situ 19F NMR-spectroscopic analysis. During the irradiation, the NMR signals of two intermediates (approx. −114 ppm and −116 ppm) were observed (Figure 3 and Supporting Information File 1, Figure S15), which were assigned to monoquadricyclane 2f2,1 and bisquadricyclane 2f1,2 (Scheme 3, Figure 3). As expected, the quadricyclanes were formed consecutively, that is, from monoquadricyclane 2f2,1 to bisquadricyclane 2f1,2 and eventually the trisquadricyclane 2f0,3. The latter was only formed after a sufficient concentration of the intermediates was present (5 min). From this point onwards, the fraction of the starting material 1f and the intermediates 2f2,1 and 2f1,2 decreased steadily, while the content of the trisquadricyclane 2f0,3 increased (Figure 3). This proposed consecutive, stepwise photoreaction was supported by theoretical analysis which showed a consistent fitting of the experimental data to the proposed kinetic model (see Supporting Information File 1, Figure S16). Contrary to the 1H NMR spectra, the 19F NMR spectra showed significantly fewer signals (one or two per molecule) during the photoreaction because of the symmetry of norbornadiene 1f and its photoproducts and the less complex coupling pattern. Thus, the 19F NMR spectra of the norbornadiene 1f and the quadricyclane 2f0,3 showed a multiplet, respectively, whereas the ones of the intermediates resulted in two multiplets with a ratio of 1:2. Additionally, pronounced downfield shifts of the 19F NMR signals were observed with increasing number of quadricyclane units (Figure 3).
Figure 3:
Left: 19F NMR-spectroscopic monitoring of the photocycloaddition reaction of 1f in the presence of flavine 4 in benzene-d6 (λex = 405 nm). Right: Plot of the fraction of components in the reaction mixture during the photoreaction of 1f; blue: 1f; purple: 2f2,1; pink: 2f1,2; red: 2f0,3.
Figure 3:
Left: 19F NMR-spectroscopic monitoring of the photocycloaddition reaction of 1f in the presence of ...
Scheme 3:
Stepwise photoreaction of 1f to 2f0,3 (numbering of quadricyclanes 2fm,n: m = number of norbornadiene units, n = number of quadricyclane units).
Scheme 3:
Stepwise photoreaction of 1f to 2f0,3 (numbering of quadricyclanes 2fm,n: m = number of norbornadie...
To assess the physicochemical parameters of the light energy storage and release, the thermally induced cycloreversion of 2f0,3 was investigated. Analysis of the cycloreversion at different temperatures revealed a half-life, t1/2, of 55 d at 25 °C, an activation enthalpy ΔH = 99.4 kJ/kg, and an activation entropy of ΔS = −42 J/K mol (see Supporting Information File 1, Figure S2).
The energy density of trisquadricyclane 2f0,3 was determined with simultaneous thermal analysis (STA) with a heat release of 458 kJ/kg. Additionally, a second exothermic peak (>150 °C) correlated with a significant decrease in mass, indicating decomposition above this temperature (see Supporting Information File 1, Figure S3).
The cycloreversion of trisquadricyclane 2f0,3 was also initiated in a ground-state reaction with magic blue (5), which has already been shown to be an effective catalyst for this reaction [46-48]. Upon addition of magic blue (5, 7.5 mol %) to a solution of quadricyclane 2f0,3 in CDCl3, the norbornadiene 1f was formed almost quantitatively in addition to very small traces of tri(4-bromophenyl)amine, i.e., the reduced catalyst (see Supporting Information File 1, Figure S12).
Discussion
A comparison of the synthesis and photophysical properties of the fluoro-substituted norbornadiene 1f with the ones of the parent compound 1b revealed that the yield of the Suzuki–Miyaura coupling reaction is significantly lower for the former [22], presumably because of the steric hindrance induced by the ortho-fluoro substituents. These substituents also induce a strong electron-withdrawing effect on the chromophore and thus lower the HOMO energy, likely leading to a larger HOMO–LUMO gap and to a small hypsochromic shift of the absorption (1f: λmax = 273 nm; parent norbornadiene 1b: λmax = 283 nm) [49].
According to the results of the photosensitized reaction, the triplet state energy of the norbornadiene 1f is higher than that of norbornadiene 1b (2.08 eV) [50], as the sensitized photocycloaddition only took place with the photocatalyst Ir(ppy)3 (2.52 eV) [51] and with flavine (2.28 eV) [52]. In contrast, [Ru(phen)3]2+ (2.19 eV) [53] does not catalyze the reaction of 1f, but is still able to catalyze the one of 1b[50].
Notably, the half-life of trisquadricyclane 2f0,3 (55 d) is almost eight times longer than the one of the parent compound 2b (8 d) [22], presumably because of additional steric hindrance induced by the fluoro substituents in the ortho positions [54]. It should be noted that there is only very limited data available to compare the effect of the substitution pattern on the half-life of aryl-substituted norbornadienes to support this interpretation [55]. However, the effect of ortho substituents has been examined in more detail for 2-cyano-3-arylnorbornadienes. And these studies have shown that the substituents in ortho position lead to an increased thermal stability in comparison with the meta and para-substituted isomers [54]. Although the longer half-life of the trisquadricyclane may be considered an improved property, the energy density of this compound is lower than that of the parent compound 2b because of the higher molecular mass.
The experimental results showed a decomposition of trisquadricyclane 2f0,3 at higher temperature, which is accompanied by significant loss of mass. This observation likely indicates the thermally induced retro-Diels–Alder reaction of the initially formed norbornadiene units and presumably subsequent reactions of the primary intermediates under these conditions. This unfavorable property may also be caused by the ortho-fluoro substituents as it was not observed with the parent compound 1b. In fact, increased rates of retro-Diels–Alder reactions have been observed with acceptor-substituted substrates [56,57].
Although the course of the photoreaction of norbornadiene 1f can be visualized by in situ 1H NMR spectroscopy, significantly overlapping signals prevent the conclusive differentiation of the individual species that are formed throughout the reaction (see Supporting Information File 1, Figures S13 and S14), interfering with the complete assessment of this stepwise photoreaction. In contrast, it is demonstrated herein that this problem is circumvented by the application of in situ 19F NMR-spectroscopic measurements. Contrary to the 1H NMR spectra, the 19F NMR spectra are less complex and show characteristic and sufficiently separated signals that allow the unambiguous identification of photoproducts 2f0,3, 2f2,1, and 2f1,2 and, thus, their detection in the course of the photoreaction.
Conclusion
One ongoing problem during assessment of MOST systems is the examination of multichromophore photoreactions, because the intermediates share high structural similarities and are thus often difficult to be distinguished by 1H NMR spectroscopy, i.e., the currently most applied method. We demonstrated in this proof-of-principle study that fluorinated norbornadiene 1f is a well-designed substrate for in situ 19F NMR-spectroscopic investigation. The advantages of 19F NMR spectroscopy are obvious, as the 19F NMR spectra comprise fewer and sufficiently separated signals as compared with the 1H NMR spectra. To add to that, in principle only one well-placed fluoro substituent is necessary to take advantage of 19F NMR spectroscopy as a useful complementary method for the investigation of sequential photoreactions.
At the same time, the norbornadiene/quadricyclane system 1f/2f0,3 has some favorable MOST properties, namely a high energy density and a long half-life of the trisquadricyclane. In addition, the cycloaddition reaction can be initiated under mild conditions with visible light (λex = 405 or 420 nm) in the presence of Ir(ppy)3 or flavine 4 as photocatalysts. However, these key parameters do not match the better ones of the parent norbornadiene 1b. Furthermore, the fluoro-substituted derivative 2f0,3 appears to be prone towards thermal decomposition. Thus, even though this compound serves as an ideal probe for the investigation of the photoreaction by 19F NMR spectroscopy, further structural optimization is necessary for application purposes.
A mixture of 1,3,5-tribromo-2,4,6-trifluorobenzene (212 mg, 575 µmol), 4,4,5,5-tetramethyl-2-(bicyclo[2.2.1]heptadien-2-yl)-1,3,2-dioxaborolane (1e, 501 mg, 2.30 mmol), Pd(PPh3)4 (66.5 mg, 57.5 µmol, 5 mol %), THF (5.0 mL), and aq. NaOH (5.7 mmol, 2.7 M, 2.1 mL) was stirred at 80 °C for 16 h under anaerobic conditions [22]. After cooling the emulsion to room temperature, EtOAc (15 mL) was added and the organic layer was separated and dried with Na2SO4. The drying agent was filtered off, the solvent was removed under reduced pressure, and the crude product was purified by column chromatography (SiO2, n-hexane, Rf = 0.44) and recrystallization from n-pentane. The product was obtained as colorless cubes (84.0 mg, 209 µmol, 36%); mp 107–109 °C; 1H NMR (500 MHz, CDCl3) δ 2.08 (dt, 2J = 6.0 Hz, 3J = 1.8 Hz, 3H, 7'-H, 7''-H, 7'''-H), 2.19 (dt, 2J = 6.0 Hz, 3J = 1.8 Hz, 3H, 7'-H, 7''-H, 7'''-H), 3.71 (br. s, 3H, 4'-H, 4''-H, 4'''-H), 3.89 (br. s, 3H, 1'-H, 1''-H, 1'''-H), 6.82 (dd, 3J = 5.0 Hz, 3J = 3.1 Hz, 3H, 5'-H, 5'''-H, 5'''-H), 6.94 (dd, 3J = 5.0 Hz, 3J = 2.4 Hz, 3H, 6'-H, 6''-H, 6'''-H), 7.00 (d, 3J = 2.4 Hz, 3H, 3'-H, 3''-H, 3'''-H); 13C NMR (125 MHz, CDCl3) δ 50.7 (C4', C4'', C4'''), 54.6 (C1', C1'', C1'''), 73.1 (C7', C7'', C7'''), 111.2 (C1, C3, C5), 143.1 (C5', C5'', C5'''), 143.4 (C6', C6'', C6'''), 144.5 (C3', C3'', C3'''), 144.7 (C2', C2'', C2'''), 154.8 (dt, 1J = 251.0 Hz, 3J = 10.9 Hz, C2, C4, C6); 19F NMR (470 MHz, CDCl3) δ −112.1–112.2 (m, 3F, 2-F, 3-F, 6-F); APCIMS (m/z): [M + H]+ 403; Anal. calcd for C27H21F3: C, 80.58; H, 5.26; found: C, 80.51; H, 5.09.
General procedure (GP A) for the sensitized photocycloaddition reaction [48]
A solution of the norbornadiene (4.02–25.0 mg, 10.0–62.1 mmol) and the sensitizer Ir(ppy)3 or [Ru(phen)3](PF6)2 (5–10 mol %) in deaerated benzene or MeCN was irradiated with light (λex = 420 or 520 nm) for 0.5–3 h. The solvent was removed under reduced pressure at 20 °C and the residue was suspended in n-pentane (10 mL) and filtered. The solvent was removed under reduced pressure at 20 °C.
Attempt 1: According to GP A, a solution of 1f (4.02 mg, 10.0 µmol), [Ru(phen)3](PF6)2 (0.47 mg, 0.50 µmol, 5 mol %) in deaerated MeCN (10 mL) was irradiated with λex = 520 nm at rt for 30 min. The 1H NMR-spectroscopic analysis showed no conversion of the starting material.
Attempt 2: According to GP A, a solution of 1f (25.0 mg, 62.1 µmol), Ir(ppy)3 (4.08 mg, 6.21 µmol, 10 mol %) in deaerated benzene (4 mL) was irradiated with λex = 420 nm at rt for 3 h. The product was obtained as an opaque viscous liquid (24.6 mg, 61.1 µmol, >95%). 1H NMR (500 MHz, CDCl3) δ 1.54–1.57 (m, 1H), 1.67 (ddd, 3J = 6.0 Hz, 3J = 4.5 Hz, 3J = 2.2 Hz, 1H), 1.73–1.78 (m, 1H), 1.84–1.89 (m, 1H), 2.10 (dt, 2J = 11.1 Hz, 3J = 1.4 Hz, 1H), 2.21 (dt, 3J = 4.5 Hz, 3J = 2.2 Hz, 1H), 2.24 (dt, 2J = 11.1 Hz, 3J = 1.4 Hz, 1H).
Supporting Information
Supporting Information File 1:
Experimental section and copies of spectra.
We thank Prof. Dr. Manuela Killian and Dr. Christian Pritzel (CSnM, University of Siegen) for simultaneous thermal analysis (STA) measurements, and Prof. Dr. Radek Chibulka (UCT Prague, Czech Republic) for providing a sample of 1-butyl-7,8-dimethoxy-3-methylalloxazin (4).
Funding
Financial support by the Deutsche Forschungsgemeinschaft (project number: 563533943; Ih24/20–1) and the University of Siegen is gratefully acknowledged.
Data Availability Statement
All data that supports the findings of this study is available in the published article and/or the supporting information of this article.
References
Marcon, M.; Haag, C.; König, B. Beilstein J. Org. Chem.2025,21, 1808–1853. doi:10.3762/bjoc.21.143
Return to citation in text:
[1]
Zhu, G.; Sun, F.; Ji, Y.; Hu, H.; Yang, M.; Zhang, Y.; Deng, X.; Zheng, Y.; Wei, C.; Wang, D. Chem. Soc. Rev.2025,54, 7347–7376. doi:10.1039/d4cs00296b
Return to citation in text:
[1]
Jago, D.; Gaschk, E. E.; Koutsantonis, G. A. Aust. J. Chem.2023,76, 635–654. doi:10.1071/ch23115
Return to citation in text:
[1]
Pianowski, Z. L., Ed. Molecular Photoswitches; Wiley-VCH: Weinheim, Germany, 2022. doi:10.1002/9783527827626
Return to citation in text:
[1]
Xu, X.; Li, C.; Li, W.; Feng, J.; Li, W.-Y. Energy Environ. Sci.2025,18, 8990–9017. doi:10.1039/d5ee02556g
Return to citation in text:
[1]
[2]
Gimenez-Gomez, A.; Magson, L.; Peñin, B.; Sanosa, N.; Soilán, J.; Losantos, R.; Sampedro, D. Photochem2022,2, 694–716. doi:10.3390/photochem2030045
Return to citation in text:
[1]
Schatz, D.; Wegner, H. A. Angew. Chem., Int. Ed.2026,65, e20673. doi:10.1002/anie.202520673
Return to citation in text:
[1]
[2]
Wang, Z.; Hölzel, H.; Moth-Poulsen, K. Chem. Soc. Rev.2022,51, 7313–7326. doi:10.1039/d1cs00890k
Return to citation in text:
[1]
Hemauer, F.; Steinrück, H.-P.; Papp, C. ChemPhysChem2024,25, e202300806. doi:10.1002/cphc.202300806
Return to citation in text:
[1]
Orrego-Hernández, J.; Dreos, A.; Moth-Poulsen, K. Acc. Chem. Res.2020,53, 1478–1487. doi:10.1021/acs.accounts.0c00235
Return to citation in text:
[1]
Averdunk, C.; Shamsabadi, M.; Moth-Poulsen, K.; Wegner, H. A. J. Mater. Chem. C2025,13, 13337–13346. doi:10.1039/d5tc01024a
Return to citation in text:
[1]
Lv, S.; Zhang, Y.; Wang, W.; Zhang, S.; Tang, B. Smart Mol.2024,2, e20240058. doi:10.1002/smo.20240058
Return to citation in text:
[1]
Chakraborty, S.; Choudhuri, W. S. R.; Usuba, J.; Qiu, Q.; Raju, C.; Han, G. G. D. Chem2025,11, 102660. doi:10.1016/j.chempr.2025.102660
Return to citation in text:
[1]
Baggi, N.; Muhammad, L. M.; Liasi, Z.; Elholm, J. L.; Baronas, P.; Molins, E.; Mikkelsen, K. V.; Moth-Poulsen, K. J. Mater. Chem. A2024,12, 26457–26464. doi:10.1039/d4ta03879g
Return to citation in text:
[1]
Chakraborty, S.; Nguyen, H. P. Q.; Usuba, J.; Choi, J. Y.; Sun, Z.; Raju, C.; Sigelmann, G.; Qiu, Q.; Cho, S.; Tenney, S. M.; Shulenberger, K. E.; Schmidt-Rohr, K.; Park, J.; Han, G. G. D. Chem2024,10, 3309–3322. doi:10.1016/j.chempr.2024.06.033
Return to citation in text:
[1]
Bastianelli, C.; Caia, V.; Cum, G.; Gallo, R.; Mancini, V. J. Chem. Soc., Perkin Trans. 21991, 679–683. doi:10.1039/p29910000679
Return to citation in text:
[1]
Cho, S.; Usuba, J.; Chakraborty, S.; Li, X.; Han, G. G. D. Chem2023,9, 3159–3171. doi:10.1016/j.chempr.2023.06.007
Return to citation in text:
[1]
Quant, M.; Hillers-Bendtsen, A. E.; Ghasemi, S.; Erdelyi, M.; Wang, Z.; Muhammad, L. M.; Kann, N.; Mikkelsen, K. V.; Moth-Poulsen, K. Chem. Sci.2022,13, 834–841. doi:10.1039/d1sc05791j
Return to citation in text:
[1]
Gleiter, R.; Ohlbach, F. J. Chin. Chem. Soc.1996,43, 117–122. doi:10.1002/jccs.199600018
Return to citation in text:
[1]
Mansø, M.; Petersen, A. U.; Wang, Z.; Erhart, P.; Nielsen, M. B.; Moth-Poulsen, K. Nat. Commun.2018,9, 1945. doi:10.1038/s41467-018-04230-8
Return to citation in text:
[1]
[2]
Petersen, A. U.; Hofmann, A. I.; Fillols, M.; Mansø, M.; Jevric, M.; Wang, Z.; Sumby, C. J.; Müller, C.; Moth‐Poulsen, K. Adv. Sci.2019,6, 1900367. doi:10.1002/advs.201900367
Return to citation in text:
[1]
[2]
Schulte, R.; Afflerbach, S.; Paululat, T.; Ihmels, H. Angew. Chem., Int. Ed.2023,62, e202309544. doi:10.1002/anie.202309544
Return to citation in text:
[1]
[2]
[3]
[4]
[5]
[6]
[7]
[8]
Hammond, G. S.; Turro, N. J.; Fischer, A. J. Am. Chem. Soc.1961,83, 4674–4675. doi:10.1021/ja01483a051
Return to citation in text:
[1]
Harel, Y.; Adamson, A. W.; Kutal, C.; Grutsch, P. A.; Yasufuku, K. J. Phys. Chem.1987,91, 901–904. doi:10.1021/j100288a027
Return to citation in text:
[1]
Dilling, W. L. Chem. Rev.1966,66, 373–393. doi:10.1021/cr60242a002
Return to citation in text:
[1]
[2]
Dubonosov, A. D.; Bren, V. A.; Chernoivanov, V. A. Russ. Chem. Rev.2002,71, 917–927. doi:10.1070/rc2002v071n11abeh000745
Return to citation in text:
[1]
[2]
Quant, M.; Lennartson, A.; Dreos, A.; Kuisma, M.; Erhart, P.; Börjesson, K.; Moth‐Poulsen, K. Chem. – Eur. J.2016,22, 13265–13274. doi:10.1002/chem.201602530
Return to citation in text:
[1]
Weber, R. R.; Stindt, C. N.; van der Harten, A. M. J.; Feringa, B. L. Chem. – Eur. J.2024,30, e202400482. doi:10.1002/chem.202400482
Return to citation in text:
[1]
[2]
[3]
Schulte, R.; Schade, D.; Paululat, T.; Zähringer, T. J. B.; Kerzig, C.; Ihmels, H. Beilstein J. Org. Chem.2024,20, 3061–3068. doi:10.3762/bjoc.20.254
Return to citation in text:
[1]
[2]
[3]
[4]
Salthouse, R. J.; Elholm, J. L.; Cortellazzi, I.; Hölzel, H.; Ferreira, P.; Fernandez, L.; Etherington, M. K.; Moth‐Poulsen, K. Angew. Chem., Int. Ed.2026,65, e16629. doi:10.1002/anie.202516629
Return to citation in text:
[1]
[2]
[3]
Mansø, M.; Tebikachew, B. E.; Moth-Poulsen, K.; Nielsen, M. B. Org. Biomol. Chem.2018,16, 5585–5590. doi:10.1039/c8ob01470a
Return to citation in text:
[1]
[2]
Schulte, R.; Schade, D.; Paululat, T.; Ihmels, H. Eur. J. Org. Chem.2025,28, e202401090. doi:10.1002/ejoc.202401090
Return to citation in text:
[1]
[2]
[3]
Krappmann, D.; Müller, A. J.; Schulze, E. J.; Maid, H.; Dreuw, A.; Hirsch, A. Angew. Chem., Int. Ed.2025,64, e202507999. doi:10.1002/anie.202507999
Return to citation in text:
[1]
Aslam, A. S.; Muhammad, L. M.; Erbs Hillers‐Bendtsen, A.; Mikkelsen, K. V.; Moth‐Poulsen, K. Chem. – Eur. J.2024,30, e202401430. doi:10.1002/chem.202401430
Return to citation in text:
[1]
Biebl, S. M.; Richter, R. C.; Ströbele, M.; Fleischer, I.; Bettinger, H. F. Chem. Sci.2025,16, 15231–15238. doi:10.1039/d5sc03159a
Return to citation in text:
[1]
Reuter, R.; Wegner, H. A. Chem. – Eur. J.2011,17, 2987–2995. doi:10.1002/chem.201002671
Return to citation in text:
[1]
Jakob, L.; van der Wal, J. J.; Tovtik, R.; Copko, J.; Iagatti, A.; Donato, M. D.; Crespi, S.; Simeth, N. A. Chem. – Eur. J.2025,31, e202501856. doi:10.1002/chem.202501856
Return to citation in text:
[1]
[2]
Janasik, D.; Jasiński, K.; Węglarz, W. P.; Nemec, I.; Jewula, P.; Krawczyk, T. Anal. Chem. (Washington, DC, U. S.)2022,94, 3427–3431. doi:10.1021/acs.analchem.1c04978
Return to citation in text:
[1]
[2]
Schatz, D.; Averdunk, C.; Fritzius, R.; Wegner, H. A. Small2025,21, 2502938. doi:10.1002/smll.202502938
Return to citation in text:
[1]
[2]
Gray, V.; Lennartson, A.; Ratanalert, P.; Börjesson, K.; Moth-Poulsen, K. Chem. Commun.2014,50, 5330–5332. doi:10.1039/c3cc47517d
Return to citation in text:
[1]
Wolters, M.; Mohades, S. G.; Hackeng, T. M.; Post, M. J.; Kooi, M. E.; Backes, W. H. Invest. Radiol.2013,48, 341–350. doi:10.1097/rli.0b013e318277528c
Return to citation in text:
[1]
Schulte, R.; Ihmels, H. Beilstein J. Org. Chem.2022,18, 368–373. doi:10.3762/bjoc.18.41
Return to citation in text:
[1]
Mojr, V.; Svobodová, E.; Straková, K.; Neveselý, T.; Chudoba, J.; Dvořáková, H.; Cibulka, R. Chem. Commun.2015,51, 12036–12039. doi:10.1039/c5cc01344e
Return to citation in text:
[1]
Prukała, D.; Zubova, E.; Svobodová, E.; Šimková, L.; Varma, N.; Chudoba, J.; Ludvík, J.; Burdzinski, G.; Gulaczyk, I.; Sikorski, M.; Cibulka, R. Chem. Sci.2025,16, 11255–11263. doi:10.1039/d5sc01630d
Return to citation in text:
[1]
Hoffmann, R. W.; Barth, W. J. Chem. Soc., Chem. Commun.1983, 345–346. doi:10.1039/c39830000345
Return to citation in text:
[1]
Hebborn, J. F. M.; Ihmels, H.; Löcker, M.; Paululat, T.; Schulte, R. Chem. – Eur. J.2025,32, e02413. doi:10.1002/chem.202502413
Return to citation in text:
[1]
[2]
Fuhrer, T. J.; Houck, M.; Iacono, S. T. ACS Omega2021,6, 32607–32617. doi:10.1021/acsomega.1c04175
Return to citation in text:
[1]
Zähringer, T. J. B.; Perez Lopez, N.; Schulte, R.; Schmitz, M.; Ihmels, H.; Kerzig, C. Angew. Chem., Int. Ed.2025,64, e202414733. doi:10.1002/anie.202414733
Return to citation in text:
[1]
[2]
Zähringer, T. J. B.; Wienhold, M.; Gilmour, R.; Kerzig, C. J. Am. Chem. Soc.2023,145, 21576–21586. doi:10.1021/jacs.3c07678
Return to citation in text:
[1]
Mojr, V.; Pitrová, G.; Straková, K.; Prukała, D.; Brazevic, S.; Svobodová, E.; Hoskovcová, I.; Burdziński, G.; Slanina, T.; Sikorski, M.; Cibulka, R. ChemCatChem2018,10, 849–858. doi:10.1002/cctc.201701490
Return to citation in text:
[1]
Vlcek, A. A.; Dodsworth, E. S.; Pietro, W. J.; Lever, A. B. P. Inorg. Chem.1995,34, 1906–1913. doi:10.1021/ic00111a043
Return to citation in text:
[1]
Jevric, M.; Petersen, A. U.; Mansø, M.; Kumar Singh, S.; Wang, Z.; Dreos, A.; Sumby, C.; Nielsen, M. B.; Börjesson, K.; Erhart, P.; Moth‐Poulsen, K. Chem. – Eur. J.2018,24, 12767–12772. doi:10.1002/chem.201802932
Return to citation in text:
[1]
[2]
Schulte, R.; Afflerbach, S.; Ihmels, H. Eur. J. Org. Chem.2023,26, e202201398. doi:10.1002/ejoc.202201398
Return to citation in text:
[1]
Lehd, M.; Jensen, F. J. Org. Chem.1990,55, 1034–1040. doi:10.1021/jo00290a040
Return to citation in text:
[1]
Chung, Y.; Duerr, B. F.; McKelvey, T. A.; Nanjappan, P.; Czarnik, A. W. J. Org. Chem.1989,54, 1018–1032. doi:10.1021/jo00266a006
Return to citation in text:
[1]
Mansø, M.; Tebikachew, B. E.; Moth-Poulsen, K.; Nielsen, M. B. Org. Biomol. Chem.2018,16, 5585–5590. doi:10.1039/c8ob01470a
34.
Krappmann, D.; Müller, A. J.; Schulze, E. J.; Maid, H.; Dreuw, A.; Hirsch, A. Angew. Chem., Int. Ed.2025,64, e202507999. doi:10.1002/anie.202507999
35.
Aslam, A. S.; Muhammad, L. M.; Erbs Hillers‐Bendtsen, A.; Mikkelsen, K. V.; Moth‐Poulsen, K. Chem. – Eur. J.2024,30, e202401430. doi:10.1002/chem.202401430
Mansø, M.; Petersen, A. U.; Wang, Z.; Erhart, P.; Nielsen, M. B.; Moth-Poulsen, K. Nat. Commun.2018,9, 1945. doi:10.1038/s41467-018-04230-8
21.
Petersen, A. U.; Hofmann, A. I.; Fillols, M.; Mansø, M.; Jevric, M.; Wang, Z.; Sumby, C. J.; Müller, C.; Moth‐Poulsen, K. Adv. Sci.2019,6, 1900367. doi:10.1002/advs.201900367
Mansø, M.; Petersen, A. U.; Wang, Z.; Erhart, P.; Nielsen, M. B.; Moth-Poulsen, K. Nat. Commun.2018,9, 1945. doi:10.1038/s41467-018-04230-8
21.
Petersen, A. U.; Hofmann, A. I.; Fillols, M.; Mansø, M.; Jevric, M.; Wang, Z.; Sumby, C. J.; Müller, C.; Moth‐Poulsen, K. Adv. Sci.2019,6, 1900367. doi:10.1002/advs.201900367
Quant, M.; Hillers-Bendtsen, A. E.; Ghasemi, S.; Erdelyi, M.; Wang, Z.; Muhammad, L. M.; Kann, N.; Mikkelsen, K. V.; Moth-Poulsen, K. Chem. Sci.2022,13, 834–841. doi:10.1039/d1sc05791j
Chakraborty, S.; Choudhuri, W. S. R.; Usuba, J.; Qiu, Q.; Raju, C.; Han, G. G. D. Chem2025,11, 102660. doi:10.1016/j.chempr.2025.102660
14.
Baggi, N.; Muhammad, L. M.; Liasi, Z.; Elholm, J. L.; Baronas, P.; Molins, E.; Mikkelsen, K. V.; Moth-Poulsen, K. J. Mater. Chem. A2024,12, 26457–26464. doi:10.1039/d4ta03879g
15.
Chakraborty, S.; Nguyen, H. P. Q.; Usuba, J.; Choi, J. Y.; Sun, Z.; Raju, C.; Sigelmann, G.; Qiu, Q.; Cho, S.; Tenney, S. M.; Shulenberger, K. E.; Schmidt-Rohr, K.; Park, J.; Han, G. G. D. Chem2024,10, 3309–3322. doi:10.1016/j.chempr.2024.06.033
Jakob, L.; van der Wal, J. J.; Tovtik, R.; Copko, J.; Iagatti, A.; Donato, M. D.; Crespi, S.; Simeth, N. A. Chem. – Eur. J.2025,31, e202501856. doi:10.1002/chem.202501856
39.
Janasik, D.; Jasiński, K.; Węglarz, W. P.; Nemec, I.; Jewula, P.; Krawczyk, T. Anal. Chem. (Washington, DC, U. S.)2022,94, 3427–3431. doi:10.1021/acs.analchem.1c04978
Jakob, L.; van der Wal, J. J.; Tovtik, R.; Copko, J.; Iagatti, A.; Donato, M. D.; Crespi, S.; Simeth, N. A. Chem. – Eur. J.2025,31, e202501856. doi:10.1002/chem.202501856
39.
Janasik, D.; Jasiński, K.; Węglarz, W. P.; Nemec, I.; Jewula, P.; Krawczyk, T. Anal. Chem. (Washington, DC, U. S.)2022,94, 3427–3431. doi:10.1021/acs.analchem.1c04978